Environmental diagnosis of the conservation and identification of potential areas for the restoration of the mangroves of the Gulf of Fonseca

"Degree of conservation of the mangrove ecosystem in the Gulf of Fonseca" Proposal for environmental policies and restoration actions.

The Gulf of Fonseca is a protected inlet of the Pacific Ocean, with an area of approximately 3,200 km2, located west of Central America, bounded to the northwest by El Salvador, to the northeast and east by Honduras and to the south with Nicaragua. These wetlands are represented by mangrove forests, with a total extension along the entire coast of the Gulf of Fonseca of 75,589 ha, distributed mainly on the coasts of Honduras, with 62%; Nicaragua 32%, and for ElSalvador 6% (Fig. 1).

A large part of these forests have suffered this loss due to the direct impacts of economic activities such as: shrimp farming, salt extraction, population expansion, mobility for the entry of fuel supplying ships, export and import products, tourism development, construction of roads, livestock production, wastewater contributions, contamination of hydrographic basins, agriculture of the coastal plain, among others. In addition to the common uses of wood such as: firewood, house construction material, as well as artisanal fishing (fish, mollusks, etc).

Fig. 1. Mangrove ecosystem bordering the Gulf of Fonseca in Central America and location of sampling stations

269 measurements were made in situ of the physical and chemical parameters of interstitial water (temperature, pH, redox potential and salinity); in a single sample during the dry season. To do this, piezometers were placed in each forest, one per plot, at a depth between 50 and 60 cm (corresponding to the highest root biomass); without considering the transition points between physiognomic types (Fig. 2)

70 soil nuclei were collected at a maximum depth of 60 cm, determining in situ the pH, temperature and redox potential in each nucleus, using a multiparametric IQ150 equipment, generating 580 data in total (Fig. 3)

Of the 70 cores collected, the apparent density of the soil was evaluated as an indirect indicator of the behavior of the hydroperiod of the mangrove forests, generating 204 data in total in the 35 forests.

Fig. 2. Collection of in situ data of the physicochemical parameters of interstitial water in mangrove forests bordering the Gulf of Fonseca in El Salvador, Honduras and Nicaragua.

Fig. 3. Determination in situ of pH, temperature and redox potential in soil cores in the mangrove forests bordering the Gulf of Fonseca in El Salvador, Honduras and Nicaragua.

Forest structure, physiognomy and dominance of the KN001 species

Once the sampling sub-units (plots) had been identified in each site and strip, as the case may be, the species of each of the trees was counted and identified. For adult trees of A. germinans, A. bicolor and Laguncularia racemosa the diameter was measured at 1.30 m in height and in the case of Rhizophora mangle and R. racemosa the measurement was carried out 30 cm, after the last root. Approximate heights were obtained and the number of shafts was counted, as appropriate (Fig. 4).

The dominance of the species was determined, based on the frequency of appearance of each species in the two quadrants installed in each forest, expressing the results in percent from the total number of trees registered in the quadrant (Fig. 5)

Fig. 4. Determination of the forest structure of mangrove forests that border the Gulf of Fonseca in El Salvador, Honduras and Nicaragua.

Fig. 5. Identification of the species in situ according to the characteristics of leaves, flowers and stem. Mixed forest of Avicennia germinans and Avicennia bicolor.

Results

Physical and chemical parameters of pore water

The general behavior of the physical and chemical parameters of interstitial water in the mangroves of the Gulf of Fonseca in El Salvador, Honduras and Nicaragua suggest that there are important spatial variations in the oxygenation, salinity and temperature conditions of the mangroves; being typified as euhaline-tending mesohaline (39.2 ± 13.8 g Kg-1), oxic to hypoxic (-194.3 ± 67.8 mV), slightly acidic to neutral (6.6 ± 0.4) (Fig 6 a,b,c).

On the other hand, significant differences are established in the concentrations of the salinities of the interstitial water of El Salvador between the sampled forests of Honduras and Nicaragua (F2,59= 2.56; p=0.05).

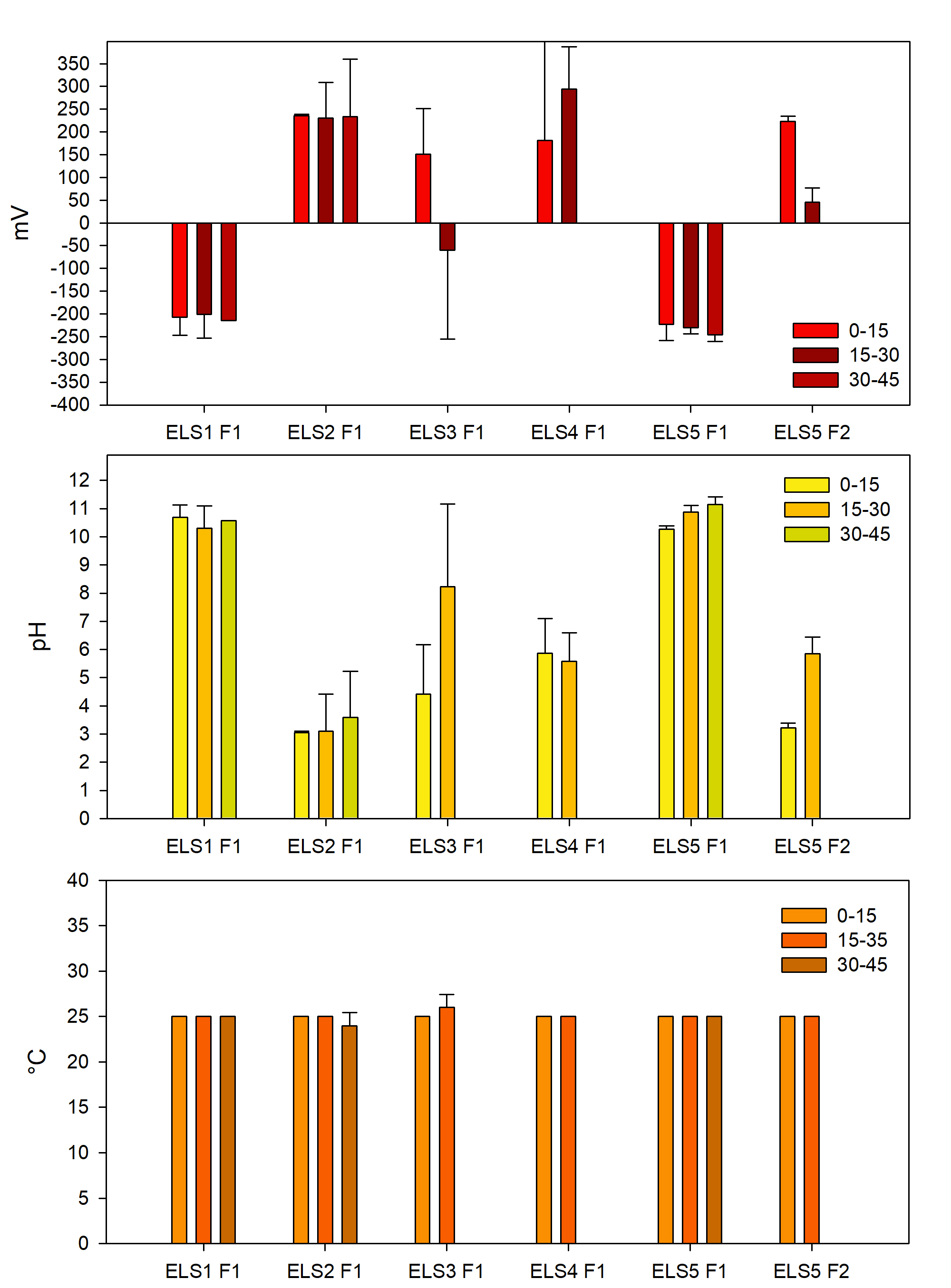
Fig. 6a. Physical and chemical parameters of interstitial water, by seasons in the mangrove forests bordering El Salvador in the Gulf of Fonseca. * Piezometer without water.

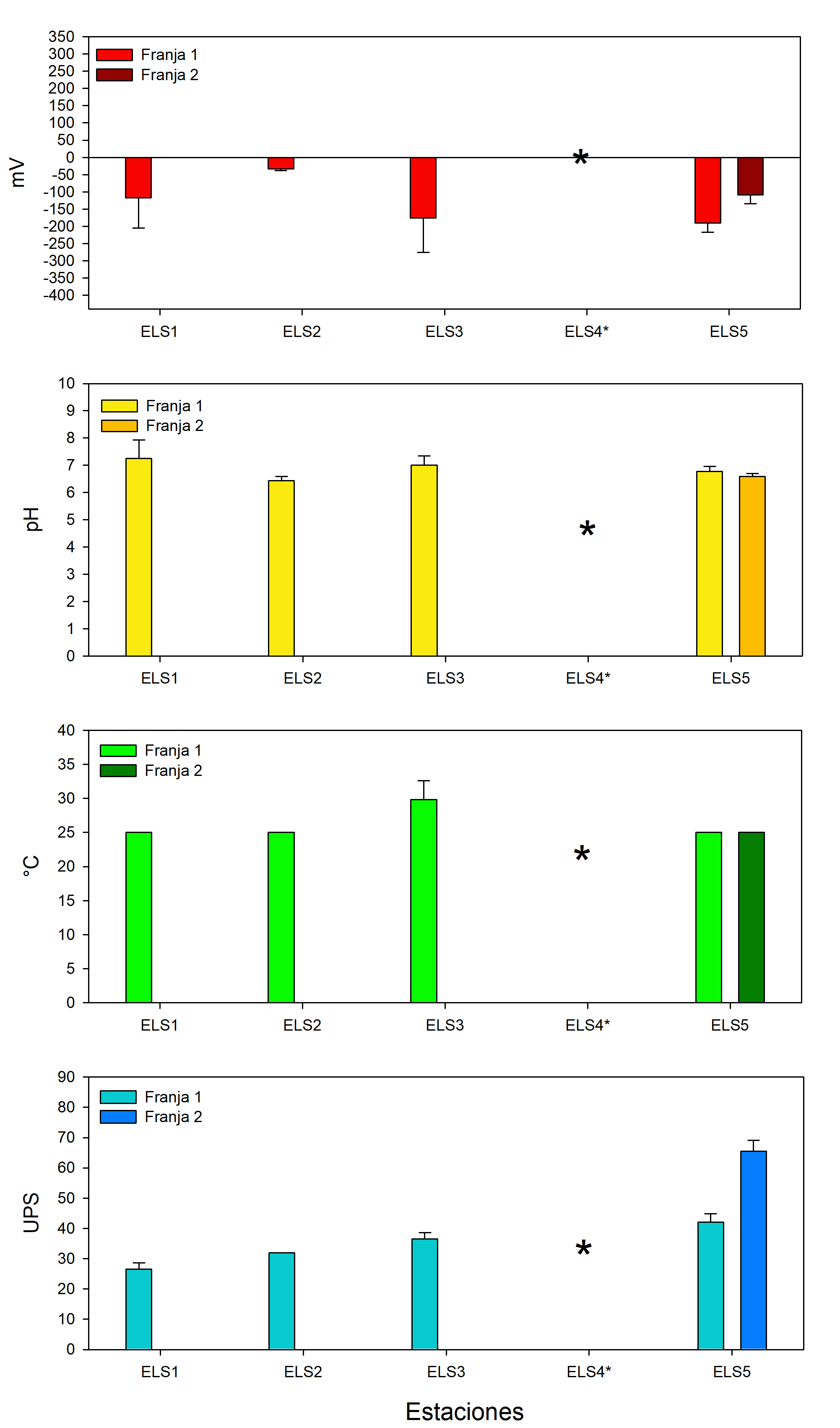
Fig. 6b. Physical and chemical parameters of interstitial water, by seasons in the mangrove forests bordering the Gulf of Fonseca in Honduras located in the Gulf of Fonseca. * Piezometer without water.

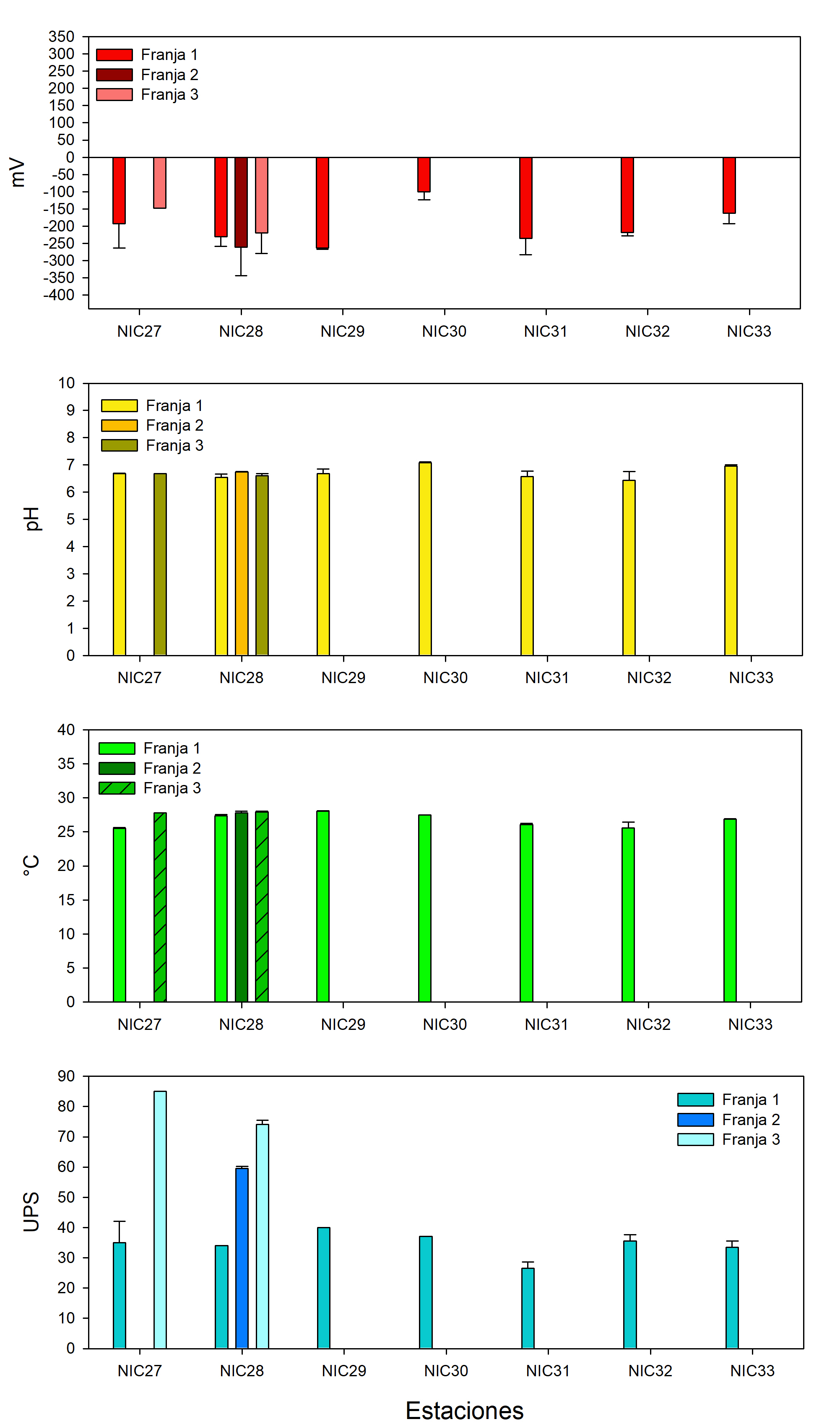
Fig. 6c. Physical and chemical parameters of interstitial water, by seasons in the mangrove forests bordering Nicaragua located in the Gulf of Fonseca. * Piezometer without water.

In general, the trophic level presented by the interstitial water from the concentration of oxidized nitrogen compounds (nitrites and nitrates = NO x) in the mangrove forests bordering the Gulf of Fonseca, was of the type eutrophic, of 3.72 ± 1.86 mg L-1 in NO x (Fig. 7 a, b, c). Registering critical sites in water quality in each country, when higher concentrations of NO x are detected, with accumulation of phosphates by country (Fig. 7 a,b,c).

Fig. 7a. Concentration of nutrients in interstitial water in the mangrove forests bordering El Salvador located in the Gulf of Fonseca.

Fig. 7b. Nutrient concentration in interstitial water in the mangrove forests bordering Honduras located in the Gulf of Fonseca.

Fig. 7c. Concentration of nutrients in interstitial water in the mangrove forests bordering Nicaragua located in the Gulf of Fonseca.

Physical and chemical parameters of the sediment

In general, the physicochemical soil conditions in the mangrove forests that border the Gulf of Fonseca were characterized as slightly acidic, with oxic conditions to the northwest, hypoxic conditions with an anoxic tendency towards the northwest (Fig. 8a.) And keeping the location criterion. proposed in the chapter on forest structure of this research.

The prevailing environmental conditions in the soil of the mangrove forest in El Salvador were neutral (4.4 ± 1.5), and oxic (192.4 ± 108.2 mV) (Figure 8a), with the exception of ELS1 and ELS3 that presented conditions of high alkalinity and hypoxia, with 10.5 ± 0.5 and -233.1 ± 33.2 mV, respectively (Fig. 8a). The apparent density was low, with 0.43 ± 0.12 gcm-3

The physical and chemical parameters of the soil in the mangroves located in Honduras exhibited two behaviors; in 68.5% of the HND6 to HND 18 sites acidic (6.5 ± 1.40) and hypoxic-anoxic (-263.91 ± 129.19 mV) and the remaining 31.3% acidic (6.23 ± 0.46) and hypoxic-oxic conditions of HND19 to HND24 (-62 ± 219.75 mV). In particular, the forest located in HND16 registered conditions of high alkalinity (10.13 ± 0.89) and hypoxia (-185.8 ± 52.3 mV) (Fig. 8b). The apparent density of the soil was recorded as a mean, 1.03 ± 1.10 g cm-3., Compared to what was evaluated in El Salvador and Nicaragua.

In the mangrove forests of Nicaragua, acidic (6.3 ± 0.6) and oxic conditions tending to hypoxic (-59.9 ± 224.9 mV) were registered, with a high apparent density of 3.53 ± 1.1 g cm-3 (Fig. 8c).

Fig. 8a. Behavior of the physical and chemical parameters of the soil in the mangrove forests that border El Salvador located in the Gulf of Fonseca.

Fig. 8b. Nutrient concentration in interstitial water in the mangrove forests bordering Honduras located in the Gulf of Fonseca.

Fig. 8c. Concentration of nutrients in interstitial water in the mangrove forests bordering Nicaragua located in the Gulf of Fonseca.

Fig. 9. Forest attributes and physiognomic types in the mangrove ecosystem bordering the Gulf of Fonseca. E#: Sample site; F#: stripe number; F1: forest located on the water's edge; F2, F3: internal forest.

Fig. 10. Dominance of the mangrove species bordering the Gulf of Fonseca. E#: sampling site.

Fig. 11. Behavior of neoatophores in the understory of the mangrove forests bordering the Gulf of Fonseca in El Salvador, Honduras and Nicaragua.

Fig. 12. Behavior of juveniles in the understory of the mangrove forests bordering the Gulf of Fonseca in El Salvador, Honduras and Nicaragua.

Fig. 13. Density and height of understory seedlings in mangrove forests bordering the Gulf of Fonseca in El Salvador, Honduras and Nicaragua.

Fig. 14. Degree of conservation of the mangrove forests bordering the Gulf of Fonseca, in El Salvador, Honduras and Nicaragua.

Fig. 15. Degree of vulnerability of the mangrove forests bordering the Gulf of Fonseca, in El Salvador, Honduras and Nicaragua.

Fig. 16. Potential restoration sites located in the Gulf of Fonseca in El Salvador, Honduras and Nicaragua.


Gallery

  • All
  • El Salvador
  • Honduras
  • Nicaragua