Diagnóstico ambiental de la conservación e identificación de áreas potenciales para la restauración de los manglares del Golfo de Fonseca

"Grado de conservación del ecosistema de mangle en el Golfo de Fonseca. Propuesta de políticas ambientales y acciones de restauración.

El Golfo de Fonseca, es un entrante protegido del océano Pacífico, con una extensión de 3,200 km2, aproximadamente, localizado al oeste de Centroamérica, con límite al noroeste con El Salvador, al noreste y este con Honduras y al sur con Nicaragua. Estos humedales están representados por los bosques de manglares, con una extensión total en toda la costa del Golfo de Fonseca de 75,589 ha, distribuidas principalmente en las costas de Honduras, con 62%; Nicaragua del 32%, y para ElSalvador en un 6% (Fig. 1).

Gran parte de estos bosques se han esa pérdida debido a los impactos directos de las actividades economicas como: camaronicultura, extracci ́ ón de sal, expansión poblacional, movilidad para el ingreso de buques abastecedores de combustible, productos de exportación e importación, desarrollo turístico, construcción de carreteras, producción ganadera, aportes de aguas residuales, contaminación de las cuencas hidrográficas, agricultura de la llanura costera, entre otras. Además de los usos comunes de la madera como: leña, material de construcción de casas, así como el arte de pesca artesanal (peces, moluscos, etc).

Fig. 1. Ecosistema de mangle que bordea el Golfo de Fonseca en Centroamérica y localización de estaciones de muestreo

Se efectuaron 269 mediciones in situ de los parámetros físicos y químicos de agua intersticial (temperatura, pH, potencial redox y salinidad); en un solo muestreo durante la temporada de estiaje. Para ello, se colocaron piezómetros en cada bosque, uno por parcela, a una profundidad entre 50 y 60 cm (correspondiente a la mayor biomasa radicular); sin considerar los puntos de transición entre los tipos fisonómicos (Fig. 2)

Se colectaron 70 núcleos de suelo a una profundidad máxima de 60 cm, determinando in situ en cada núcleo el pH, temperatura y potencial redox, mediante un equipo multiparamétrico IQ150, generando 580 datos en total (Fig. 3)

De los 70 núcleos colectados, se evaluó la densidad aparente del suelo, como un indicador indirecto del comportamiento del hidroperiodo de los bosques de mangle, generándose 204 datos en total en los 35 bosques.

Fig. 2. Colecta de datos in situ de los parámetros fisicoquímicos del agua intersticial en bosques de mangle que bordean el Golfo de Fonseca en El Salvador, Honduras y Nicaragua.

Fig. 3. Determinación in situ del pH, temperatura y potencial redox en núcleos del suelo en los bosques de mangle que bordean el Golfo de Fonseca en El Salvador, Honduras y Nicaragua.

Estructura forestal, fisonomía y dominancia de las especies KN001

Una vez identificadas las sub unidades de muestreo (parcelas) en cada sitio y franja según fue el caso, se procedió a contar e identificar la especie de cada uno de los árboles. Para árboles adultos de A. germinans, A. bicolor y Laguncularia racemosa se midió el diámetro a 1.30 m de altura y en el caso de Rhizophora mangle y R. racemosa la medición se llevó a cabo 30 cm, después de la última raíz. Se obtuvieron las alturas aproximadas y se contó el número de fustes, según fue el caso (Fig. 4).

La dominancia de las especies fue determinada, con base en la frecuencia de aparición de cada especie en los dos cuadrantes instalados en cada bosque, expresándose los resultados en porciento a partir del total de árboles registrados en el cuadrante (Fig. 5)

Fig. 4. Determinación de la estructura forestal de bosques de mangle que bordean el Golfo de Fonseca en El Salvador, Honduras y Nicaragua.

Fig. 5. Identificación de las especies in situ de acuerdo a las características en hojas, flores y tallo. Bosque mixto de Avicennia germinans y Avicennia bicolor.

Resultados

Parámetros físicos y químicos del agua intersticial

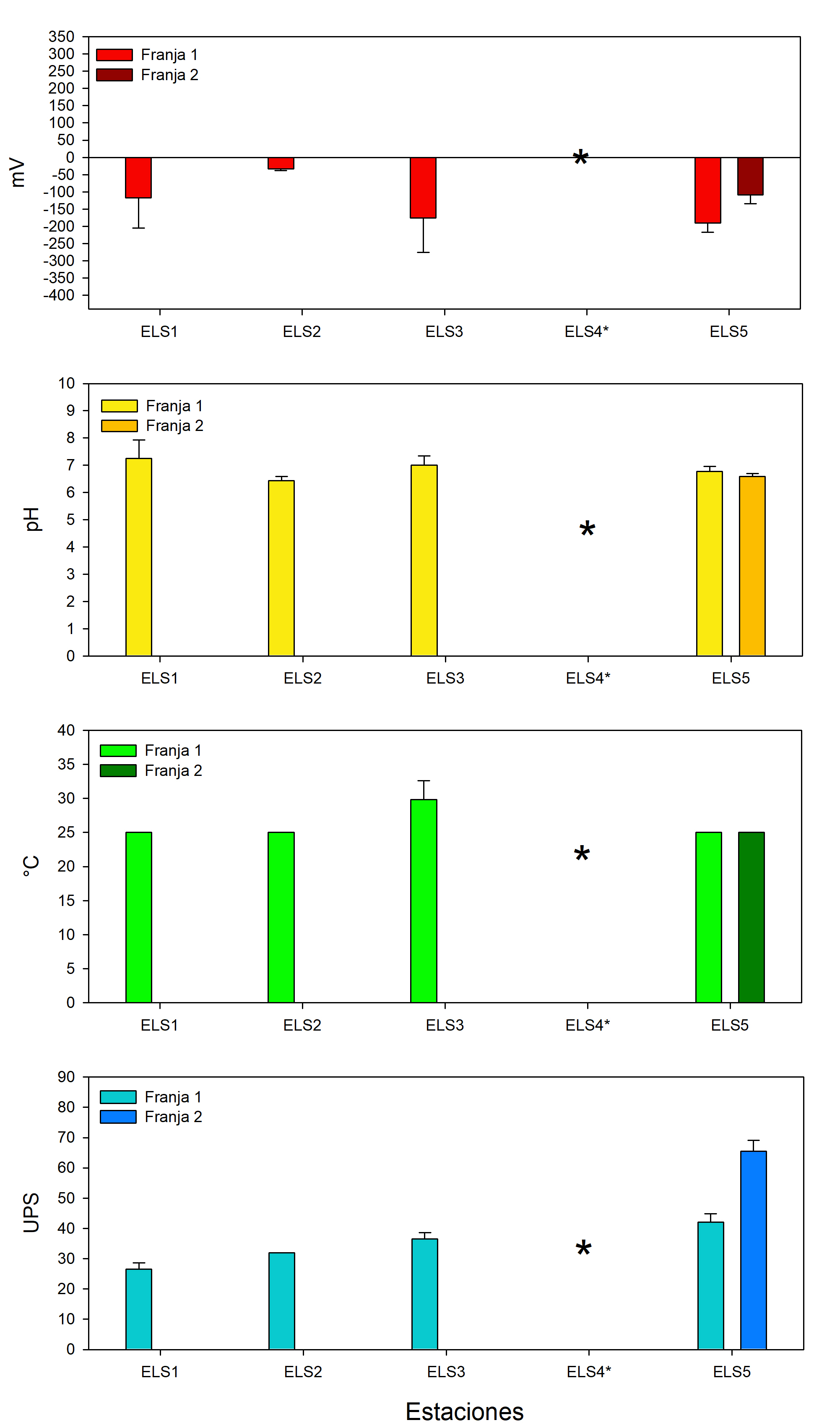
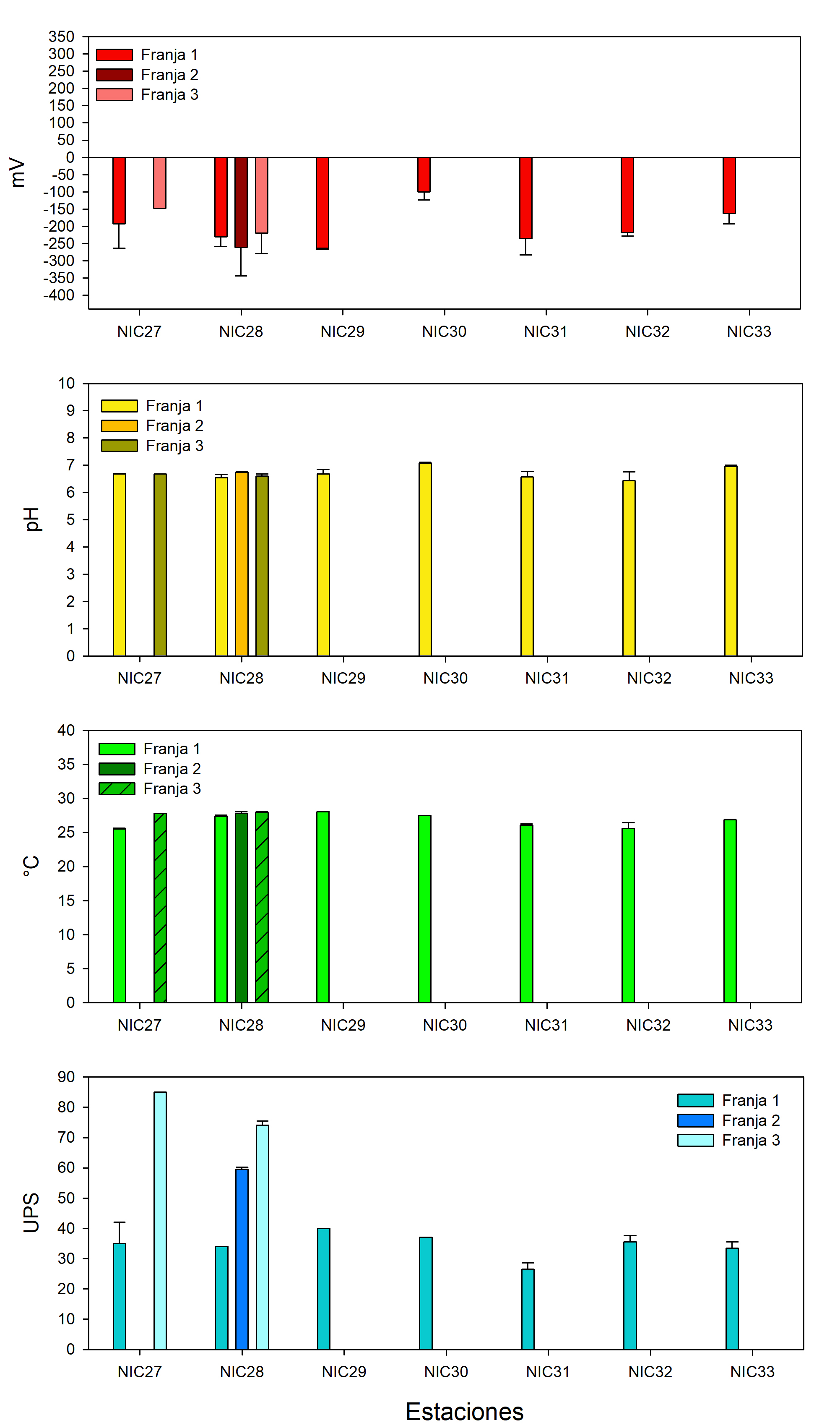
El comportamiento general de los parámetros físicos y químicos del agua intersticial en los manglares del Golfo de Fonseca en El Salvador, Honduras y Nicaragua sugieren, que existen importantes variaciones espaciales en las condiciones de oxigenación, salinidad y temperatura de los manglares; tipificándose como mesohalinas tendientes a euhalinas (39.2 ±13.8 g Kg-1 ), óxicas a hipóxicas (-194.3 ± 67.8 mV), ligeramente ácidas a neutras (6.6 ± 0.4) (Fig 6 a,b,c).

Por otra parte, se establecen a su vez diferencias significativas, en las concentraciones de las salinidades del agua intersticial de El Salvador entre los bosques muestreados de Honduras y Nicaragua (F2,59= 2.56; p=0.05).

Fig. 6a. Parámetros físicos y químicos del agua intersticial, por estaciones en los bosques de mangle que bordean El Salvador en el Golfo de Fonseca. *Piezómetro sin agua.

Fig. 6b. Parámetros físicos y químicos del agua intersticial, por estaciones en los bosques de mangle que bordean el Golfo de Fonseca en Honduras ubicados en el Golfo de Fonseca. *Piezómetro sin agua.

Fig. 6c. Parámetros físicos y químicos del agua intersticial, por estaciones en los bosques de mangle que bordean en Nicaragua ubicados en el Golfo de Fonseca. * Piezómetro sin agua.

En general el nivel trófico que presentó el agua intersticial a partir de la concentración de los compuestos nitrogenados oxidados (nitritos y nitratos = NOx) en los bosques de mangle que bordean el Golfo de Fonseca, fue de tipo eutrófico, de 3.72 ± 1.86 mg L-1 en NOx (Fig. 7 a,b,c). Registrando sitios críticos en la calidad del agua en cada país, al detectarse mayores concentraciones de NOx, con acumulación de fosfatos por país (Fig. 7 a,b,c).

Fig. 7a. Concentración de los nutrientes en el agua intersticial en los bosques de mangle que bordean El Salvador ubicados en el Golfo de Fonseca.

Fig. 7b. Concentración de los nutrientes en el agua intersticial en los bosques de mangle que bordean en Honduras ubicados en el Golfo de Fonseca.

Fig. 7c. Concentración de los nutrientes en el agua intersticial en los bosques de mangle que bordean en Nicaragua ubicados en el Golfo de Fonseca.

Parámetros físicos y químicos del sedimento

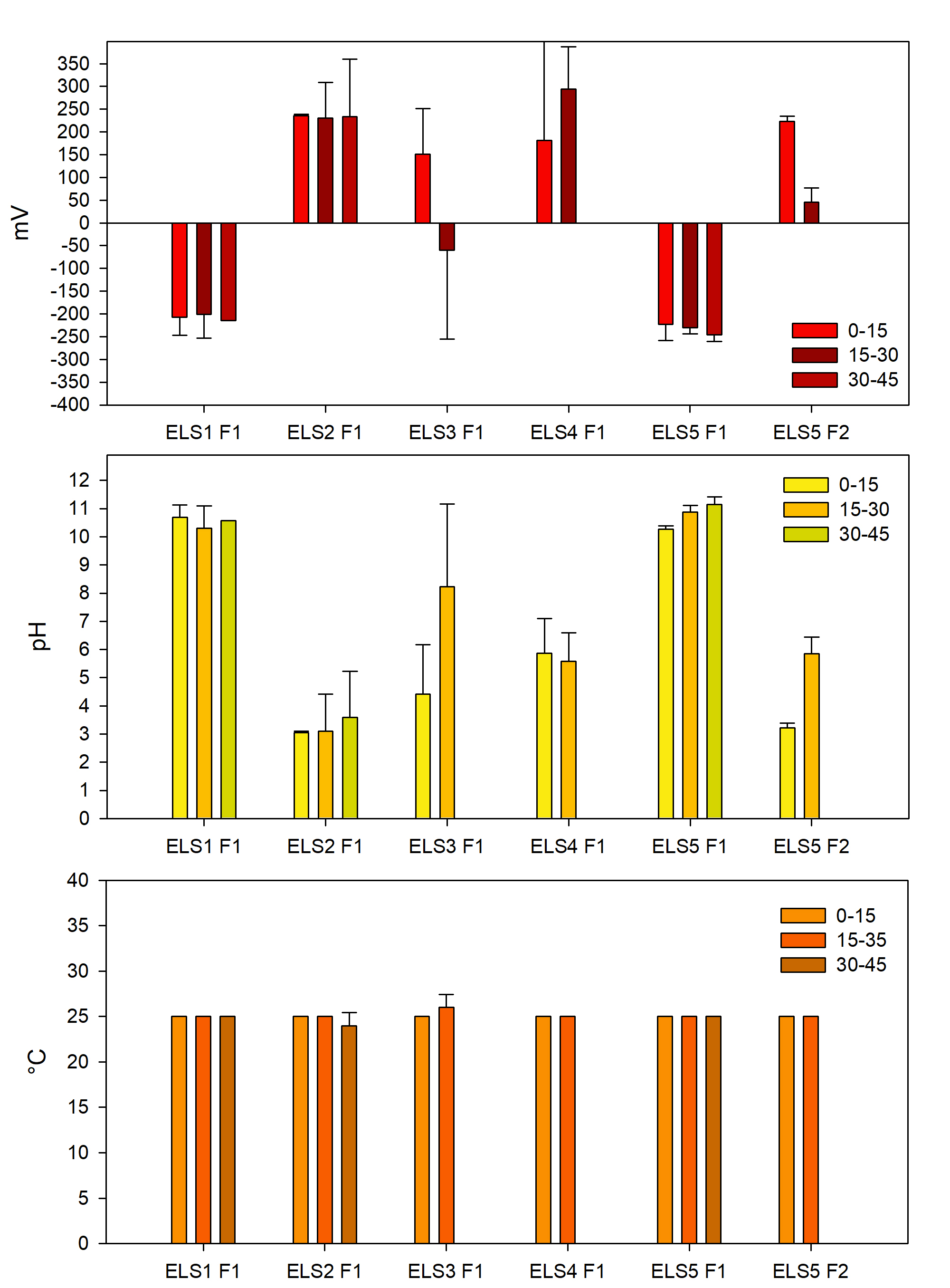
En general las condiciones fisicoquímicas del suelo en los bosques de mangle que bordean el Golfo de Fonseca se caracterizaron como ácidos ligeramente neutros, con condiciones óxicas al noroeste, hipóxicas con tendencia anóxicas hacia el noroeste (Fig. 8a.) y conservando el criterio de ubicación espacial propuesto en el capítulo de estructura forestal de esta investigación.

Las condiciones ambientales prevalecientes en el suelo del bosque de mangle en El Salvador, fueron de tipo neutras (4.4 ± 1.5), y óxicas (192.4 ± 108.2 mV) (Figura 8a), con excepción de la ELS1 y ELS3 que presentaron condiciones de alta alcalinidad e hipoxia, con 10.5 ± 0.5 y -233.1 ± 33.2 mV, respectivamente (Fig. 8a). La densidad aparente fue registrada baja, con 0.43±0.12 gcm-3

Los parámetros físicos y químicos del suelo en los manglares ubicados en Honduras exhibieron dos comportamientos; en un 68.5% de los sitios HND6 a HND 18 condiciones ácidas (6.5 ± 1.40) e hipóxicas-anóxicas (-263.91 ± 129.19 mV) y el 31.3% restante de tipo ácido (6.23±0.46) e hipóxico-óxico de HND19 a HND24 (-62 ± 219.75 mV). En particular el bosque ubicado en HND16 registró condiciones de alta alcalinidad (10.13 ± 0.89) e hipoxia (-185.8 ± 52.3 mV) (Fig. 8b). La densidad aparente del suelo fue registrada como media, de 1.03±1.10 g cm-3., comparada con lo evaluado en El Salvador y Nicaragua.

En los bosques de mangle de Nicaragua, se registraron condiciones ácidas (6.3 ± 0.6) y óxicas tendientes a hipóxicas (-59.9 ± 224.9 mV), con densidad aparente alta, de 3.53 ± 1.1 g cm-3 (Fig. 8c).

Fig. 8a. Comportamiento de los parámetros fisicos y químicos del suelo en los bosques de mangle que bordean El Salvador ubicados en el Golfo de Fonseca.

Fig. 8b. Concentración de los nutrientes en el agua intersticial en los bosques de mangle que bordean en Honduras ubicados en el Golfo de Fonseca.

Fig. 8c. Concentración de los nutrientes en el agua intersticial en los bosques de mangle que bordean en Nicaragua ubicados en el Golfo de Fonseca.

Fig. 9. Atributos forestales y tipos fisonómicos en el ecosistema de manglar que bordean el Golfo de Fonseca. E#: Sitio de muestreo; F#: número de franja; F1: bosque ubicado en la orilla del agua; F2, F3: bosque interno.

Fig. 10. Dominancia de las especies de mangle que bordean el Golfo de Fonseca. E#: sitio de muestreo.

Fig. 11. Comportamiento de neuoatóforos en el sotobosque de los bosques de mangle que bordean el Golfo de Fonseca en El Salvador, Honduras y Nicaragua.

Fig. 12. Comportamiento de juveniles en el sotobosque de los bosques de mangle que bordean el Golfo de Fonseca en El Salvador, Honduras y Nicaragua.

Fig. 13. Densidad y altura de plántulas en sotobosque en bosques que mangle que bordean el Golfo de Fonseca en El Salvador, Honduras y Nicaragua.

Fig. 14. Grado de conservación de los bosques de mangle que bordean el Golfo de Fonseca, en El Salvador, Honduras y Nicaragua.

Fig. 15. Grado de vulnerabilidad de los bosques de mangle que bordean el Golfo de Fonseca, en El Salvador, Honduras y Nicaragua.

Fig. 16. Sitios potenciales de restauración ubicados en el Golfo de Fonseca en El Salvador, Honduras y Nicaragua.


Galería

  • Todo
  • El Salvador
  • Honduras
  • Nicaragua