Diagnostics and environmental impact assessments

Degree of conservation of the mangrove ecosystem in Laguna de Términos (APFFLT), Campeche. Proposal of environmental policies and restoration actions.

In this project, the forest characterization and environmental conditions of the APFFLT mangrove forests were carried out, based on intensive studies during the dry season, as it is the most critical for mangroves (Fig. 1). This in order to define Environmental Units to establish environmental policy proposals and restoration actions.

FFig.1 Laguna de Términos Flora and Fauna Protection Area, Campeche. Number of the site and vegetation profile analyzed

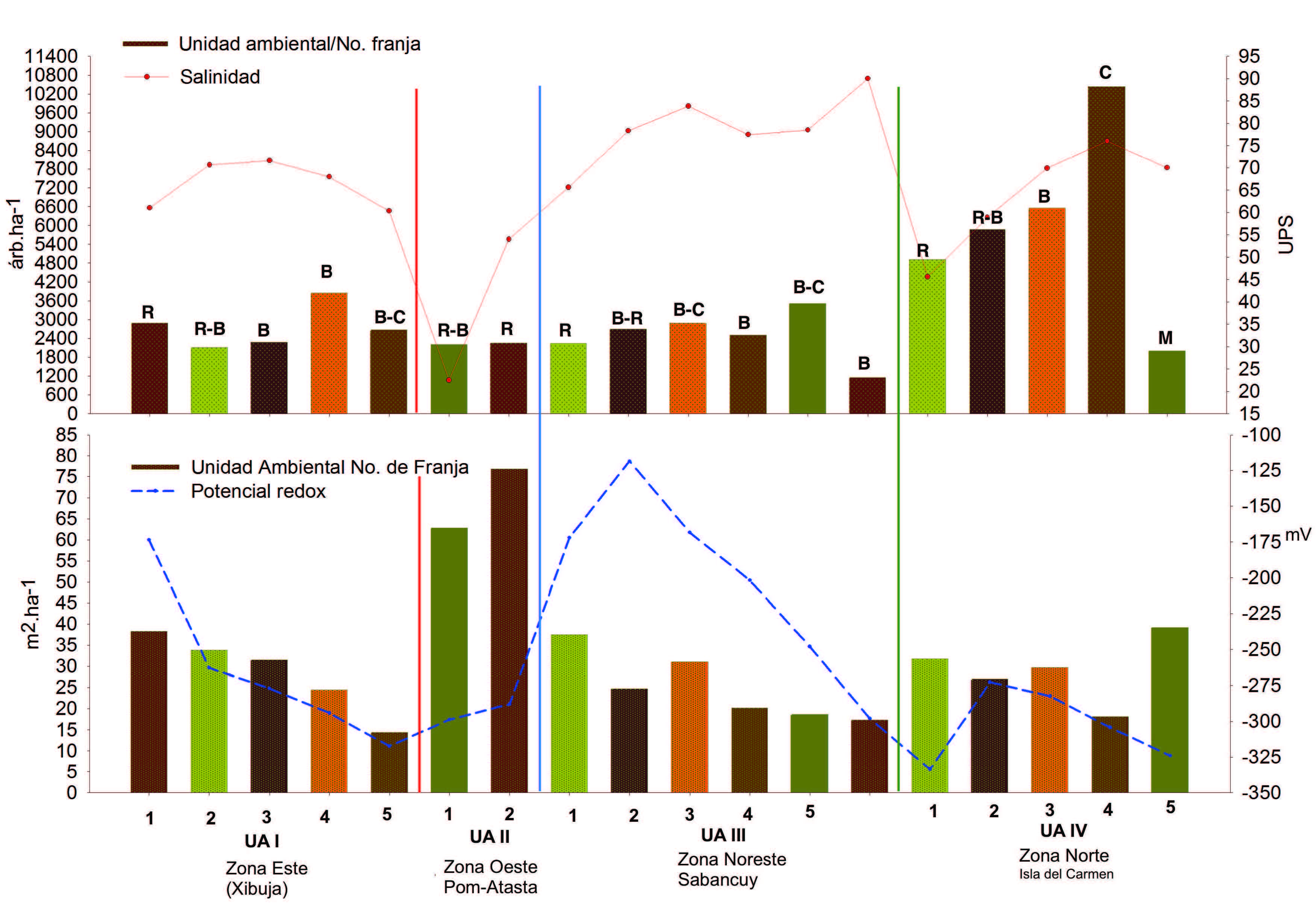
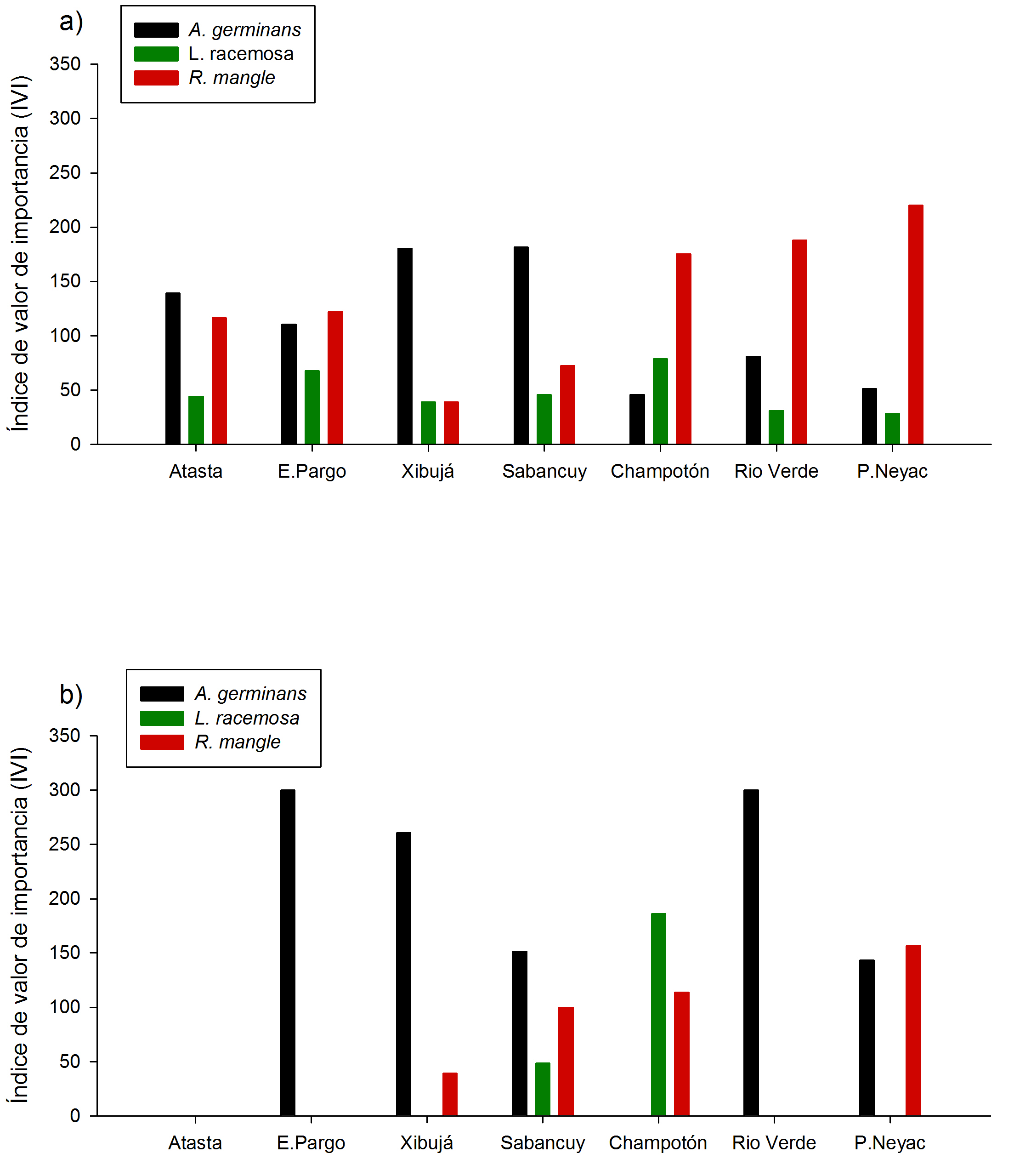
The main results show that the forests of the APFFLT in general have a physiognomy in 50% of riparian type, 38.5% of edge, 10% of basin and 1.5% of scrub, with dominance of the species A. germinans (77.4%), followed by L. racemosa (22.2%), R. mangle (15.3%) and C.erectus (3.3%) (Fig.2). Regarding the concentration of salinity, and interstitial water temperature values ​​are variables that determine this physiognomy and composition of species (Fig. 3).

From these characteristics and the composition of the mangrove, four Environmental Units were defined (UA.Fig.4); which is proposed to be used as a strategy to improve the management of environmental policies in the mangrove ecosystem of the APFFLT. Likewise, environmental policy proposals are established for each AU and strategies are defined for the recovery of mangrove cover and ecosystem services. Finally, the results of this research confirm the feasibility of developing successful projects aimed at the restoration of mangrove forests and their ecosystem functions.

Fig. 2. Value Index of Importance of mangrove species by Environmental Units in the Flora and Fauna Protection Area Laguna de Términos, Campeche.

Fig. 3. Concentration of salinity and redox potential values of interstitial water along mangrove profiles, by physiognomic type in the Laguna de Términos Flora and Fauna Protection Area, Campeche. R-B: Riparian with edge tendencye; R: Riverside; B: Edge; B-C: BRim with basin trend; C: Basin; M: scrub.

Environmental Units in the Laguna de Términos Flora and Fauna Protection Area, Campeche.

Regional program for the characterization and monitoring of mangrove ecosystems in the Gulf of Mexico and the Mexican Caribbean: start of a multi-institutional network, Campeche. Second Stage KN001

The main purpose of this project was to continue with the monitoring of the mangrove sites in the Petenes Biosphere Reserve (RBLP), Champoton and Flora and Fauna Protection Area, Laguna de Términos (APFyFLT), Campeche as of October from 2013 to December 2016, applying the guidelines of the Mexican Long-Term Research Network. In order to evaluate the structural and functional changes of the mangrove ecosystems and enrich the database of a monitoring network for the Gulf of Mexico and the Mexican Caribbean.

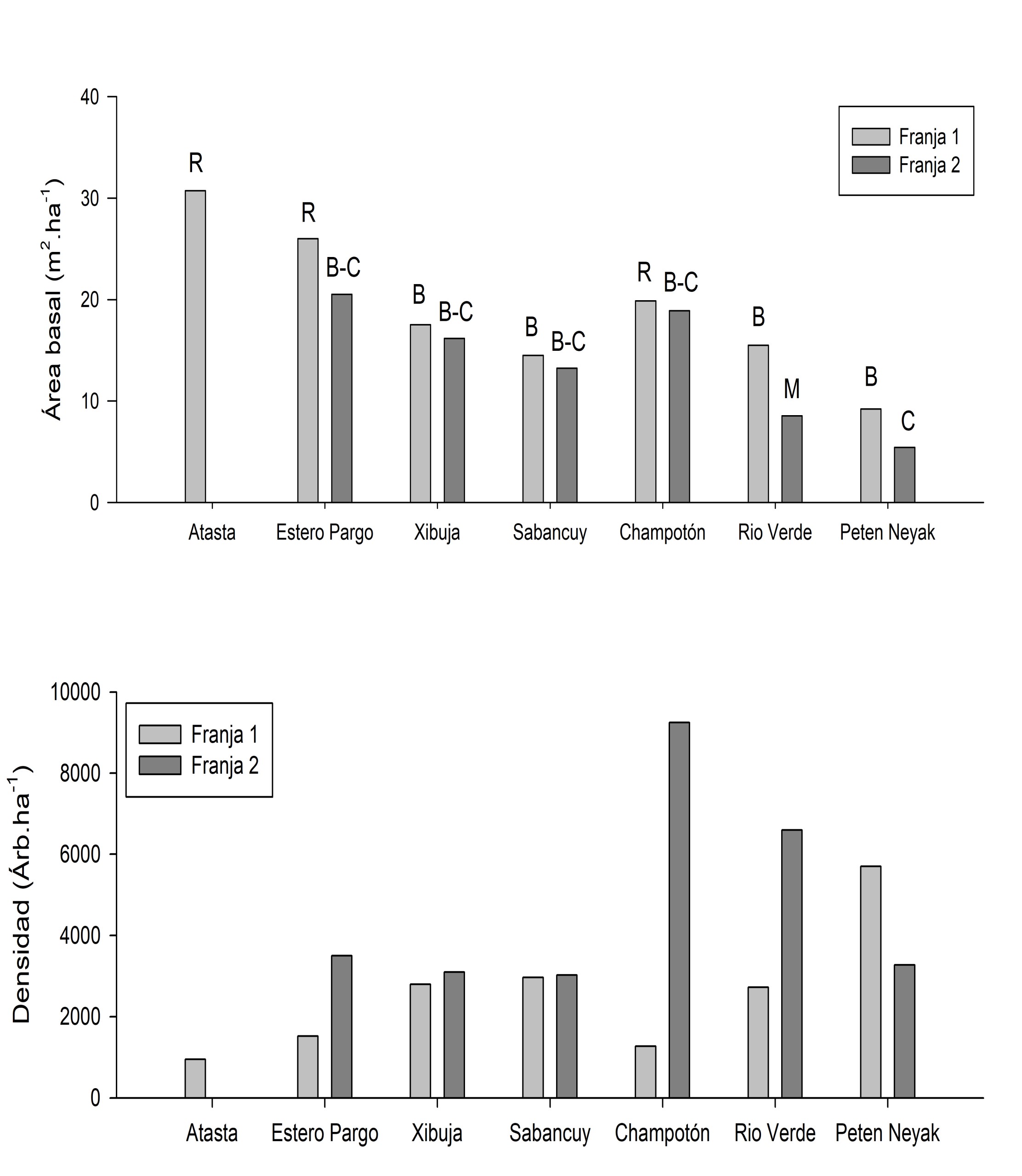
In general, during the period from November 2013 to 2016, the physicochemical parameters of the interstitial water between the localities under study established a heterogeneous behavior, with respect to the concentration of salinity, oxidation, reduction, pH and temperature (p < 0.0001). This is due to the differences in the topographic level, frequency, amplitude and period of tides, precipitation, contribution of fresh water, rate of evaporation and temperature (Agraz-Hernández and Flores-Verdugo, 2005). As a biological response to this heterogeneity, the forest attributes (density and basal area) of the mangrove forests differ along the littoral of Campeche and through vegetation profiles. The above combined with the behavior of pH and temperature.

Geographic distribution of the localities established for the characterization and monitoring of mangroves in the Laguna de Términos Protected Natural Area, Champotón and Los Petenes Biosphere Reserve, Campeche.

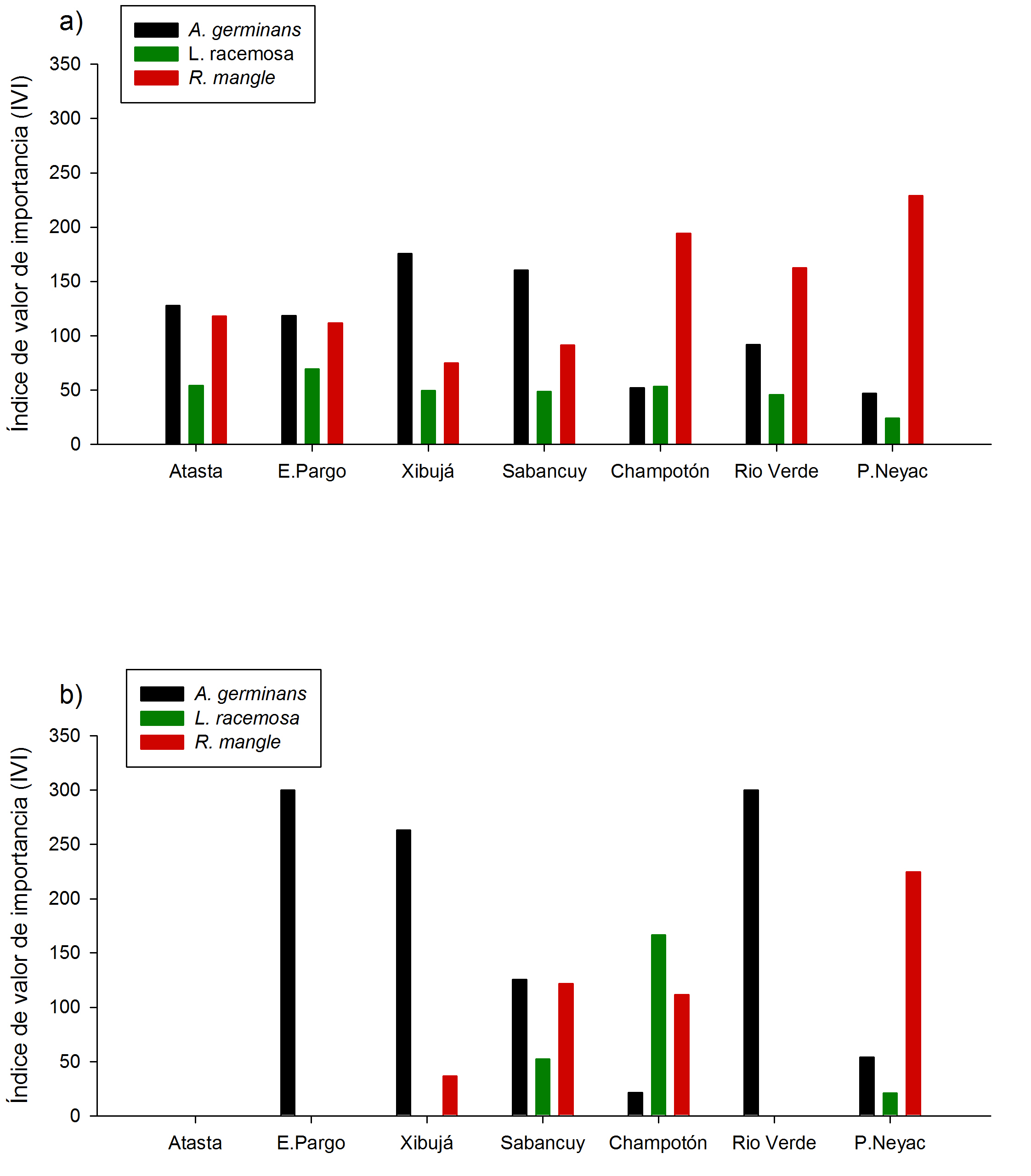
Fig. 6. Value index of importance of three mangrove species present in the forests bordering the coast and inland in the state of Campeche. Mexico, at the beginning of the KN001 project (November 2013). a) Forest bordering the coastline. b) Internal forest.

Fig. 7. Value index of importance of three mangrove species present in the forests bordering the littoral and inland in the state of Campeche. Mexico, at the end of the KN001 project (November 2016). a) Forest bordering the coastline. b) Internal forest.

Fig. 8. Forest attributes in seven mangrove sites bordering the coast line of the state of Campeche, through profiles at the beginning of the project (November 2013). F1 = forest bordering the coastline. F2 = internal forest.

Fig. 9. Forest attributes in seven sites with mangroves that line the coast line of the state of Campeche, through profiles at the end of the project (November 2016). F1 = forest bordering the coastline. F2 = internal forest.