Diagnósticos y evaluaciones de impacto ambiental

"Grado de conservación del ecosistema de mangle en la Laguna de Términos (APFFLT), Campeche. Propuesta de políticas ambientales y acciones de restauración.

En este proyecto se realizó la caracterización forestal y condiciones ambientales de los bosques de mangle del APFFLT, con base a estudios intensivos durante la época de estiaje por ser la más crítica para los manglares (Fig.1). Esto con el fin de definir Unidades Ambientales para establecer propuestas de políticas ambientales y acciones de restauración.

Fig.1. Área de Protección de Flora y Fauna Laguna de Términos, Campeche.
Número del sitio y perfil de vegetación analizados

Los principales resultados exhiben que los bosques del APFFLT en general presentan una fisonomía en un 50% de tipo ribereño, 38.5% de borde, 10% de cuenca y 1.5% de matorral, con dominancia de la especie A. germinans (77.4%), seguida de L. racemosa (22.2%), R. mangle (15.3%) y C. erectus (3.3%) (Fig.2). Referente a la concentración de salinidad, y valores de temperatura del agua intersticial son variables que determinan ésta fisonomía y composición de especies (Fig. 3).

A partir de estas características y la composición del mangle, se definieron cuatro Unidades Ambientales (UA.Fig.4); las cuales se propone sean utilizadas como estrategia para mejorar la gestión de las políticas ambientales en el ecosistema de mangle del APFFLT. Así mismo, se establecen propuestas de políticas ambientales por cada UA y se definen estrategias aplicadas para la recuperación de la cobertura de mangle y los servicios ecosistémicos. Finalmente, los resultados de esta investigación ratifican la factibilidad de desarrollar proyectos exitosos con vocación dirigida a la restauración de los bosques de mangle y de sus funciones ecosistémicas.

Fig. 2. Índice de Valor de Importancia de las especies de mangle por Unidades Ambientales en el Área de Protección de Flora y Fauna Laguna de Términos, Campeche.

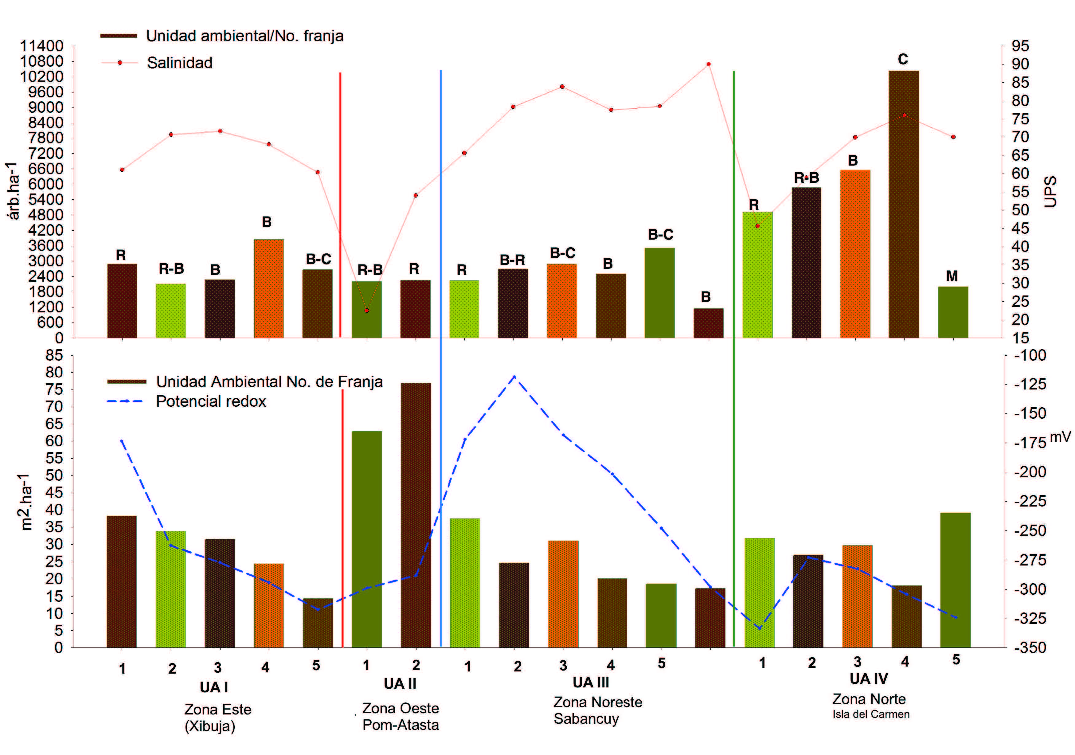
Fig. 3. Concentración de la salinidad y valores del potencial redox del agua intersticial a lo largo de perfiles de manglar, por tipo fisonómico en el Área de Protección de Flora y Fauna Laguna de Términos, Campeche. R-B: Ribereño con tendencia borde; R: Ribereño; B: Borde; B-C: Borde con tendencia cuenca; C: Cuenca; M: matorral.

Fig.4. Unidades Ambientales en el Área de Protección de Flora y Fauna Laguna de Términos, Campeche.

Programa regional para la caracterización y el monitoreo de ecosistemas de manglar del Golfo de México y Caribe Mexicano: inicio de una red multi-institucional, Campeche. Segunda Etapa KN001

Este proyecto tuvo como propósito principal el continuar con el monitoreo de los sitios de manglar en la Reserva de la Biosfera los Petenes (RBLP), Champotón y Área de Protección de Flora y Fauna, Laguna de Términos (APFyFLT), Campeche a partir de octubre del 2013 a diciembre del 2016, aplicando los lineamientos de la Red Mexicana de Investigación a Largo Plazo. Con el fin de evaluar los cambios estructurales y funcionales de los ecosistemas de mangle y enriquecer la base de datos de una red de monitoreo para el Golfo de México y Caribe Mexicano.

De manera general durante el período de noviembre de 2013 al 2016, los parámetros fisicoquímicos del agua intersticial entre las localidades en estudio establecieron un comportamiento heterogeneo, con respecto a la concentración de la salinidad, condiciones de oxido reducción, pH y temperatura (p < 0.0001). Lo anterior debido a las diferencias en el nivel topográfico, frecuencia, amplitud y período de mareas, precipitación, aporte de agua dulce, tasa de evaporación y temperatura (Agraz-Hernández y Flores-Verdugo, 2005). Como respuesta biológica a esta heterogeneidad los atributos forestales (densidad y área basal) de los bosques de mangle, difieren a largo del litoral de Campeche y a través de perfiles de vegetación. Lo anterior aunado al comportamiento del pH y temperatura, debido a que las características químicas del agua intersticial en los manglares, establecen condiciones ácidas.

Fig. 5. Distribución geográfica de las localidades establecidas para la caracterización y monitoreo de manglares en el Área Natural Protegida Laguna de Términos, Champotón y Reserva de la Biosfera Los Petenes, Campeche.

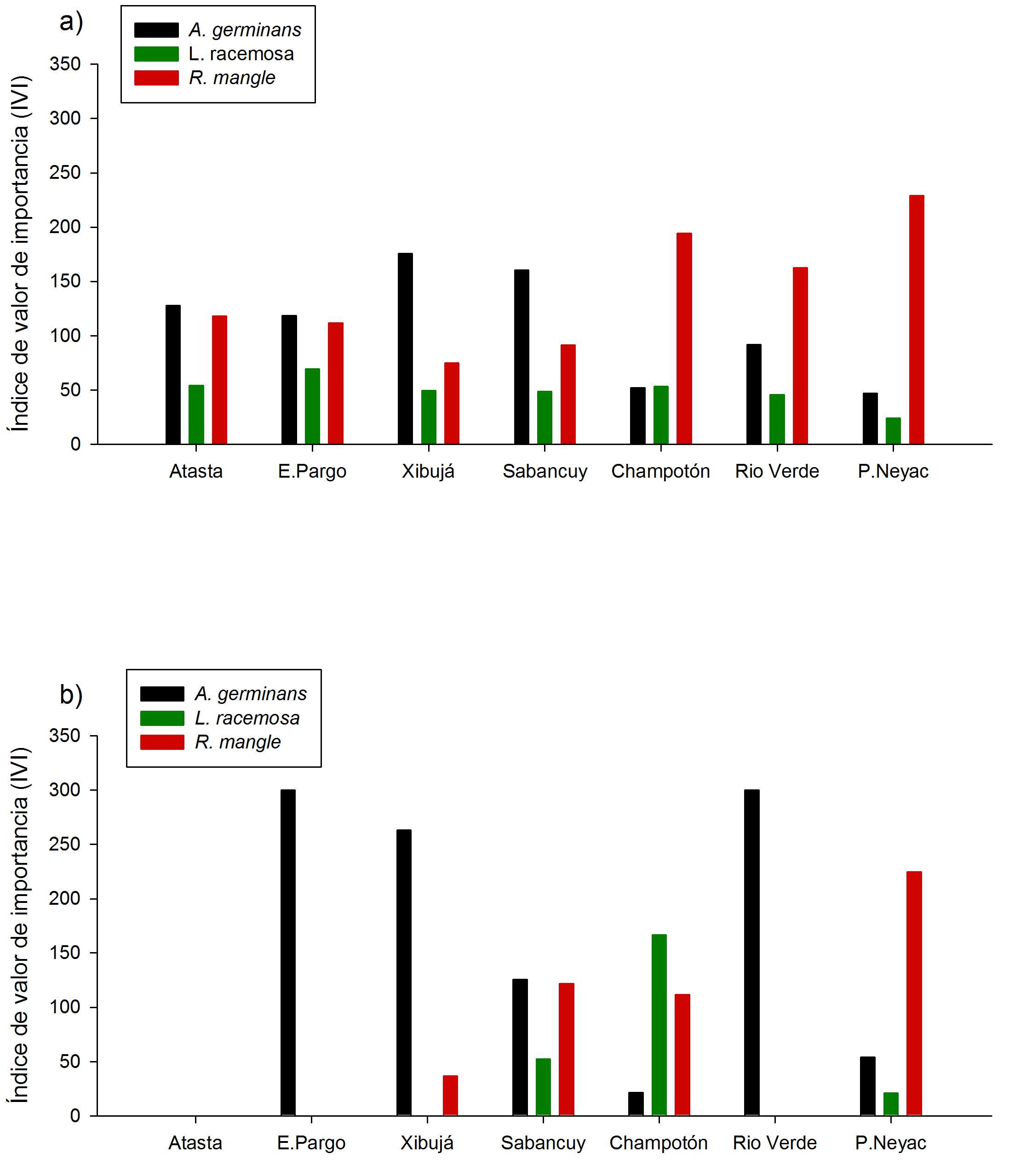
Fig. 6. Índice de valor de importancia de tres especies de mangle presentes en los bosques que bordean el litoral e internos en el estado de Campeche. México, al inicio del proyecto KN001 (Noviembre 2013). a) Bosque que bordea la linea de costa. b) Bosque interno.

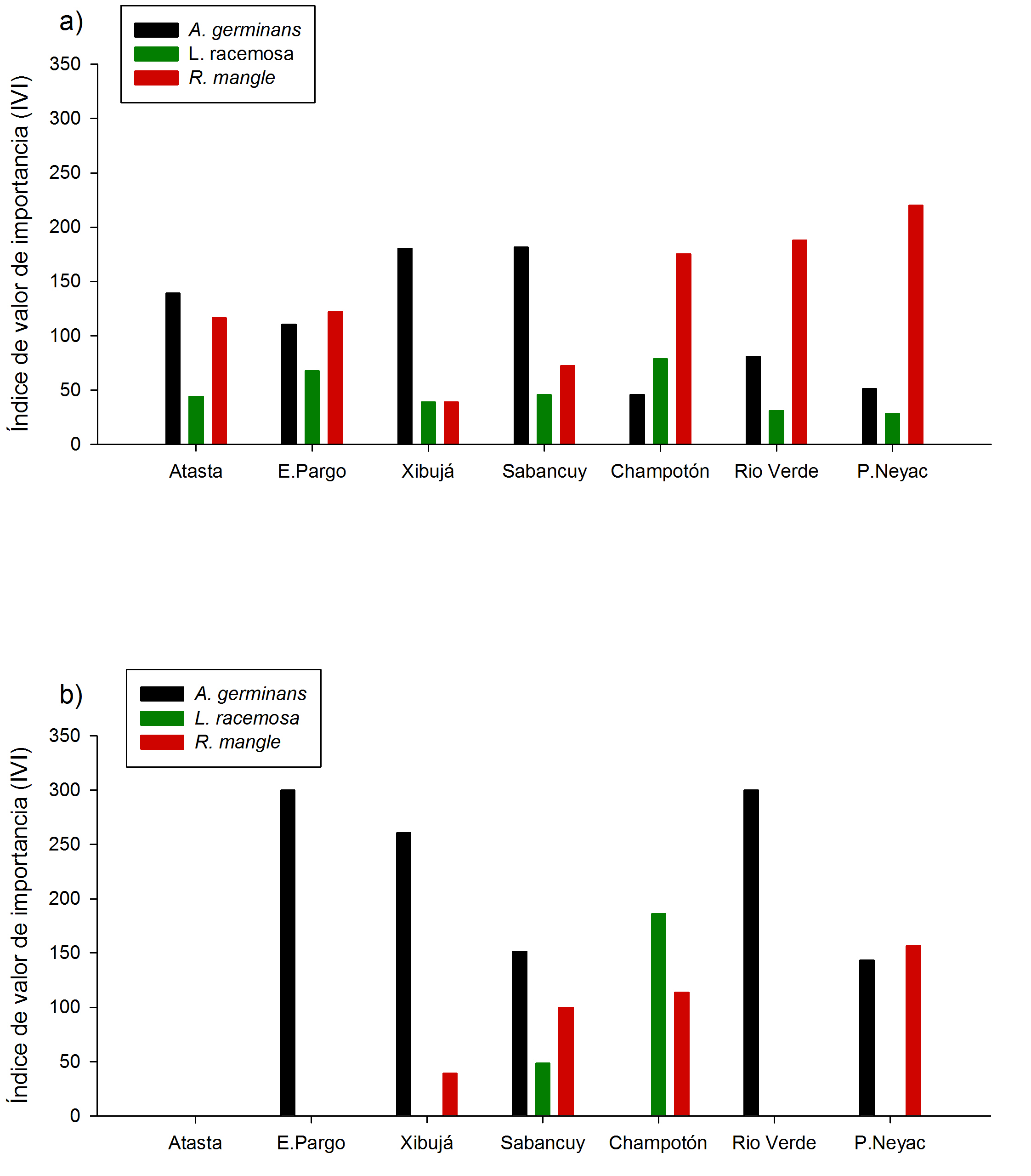
Fig. 7. Índice de valor de importancia de tres especies de mangle presentes en los bosques que bordean el litoral e internos en el estado de Campeche. México, al final del proyecto KN001 (Noviembre 2016). a) Bosque que bordea la linea de costa. b) Bosque interno.

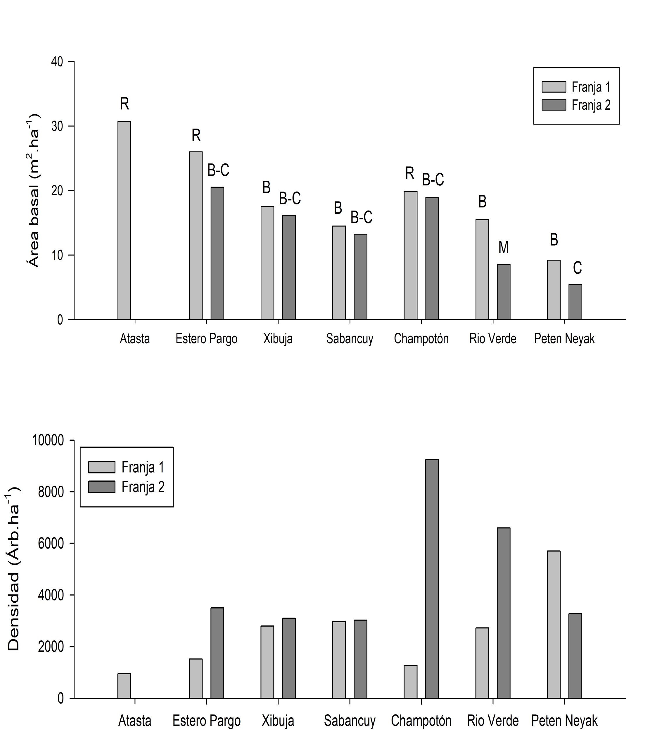
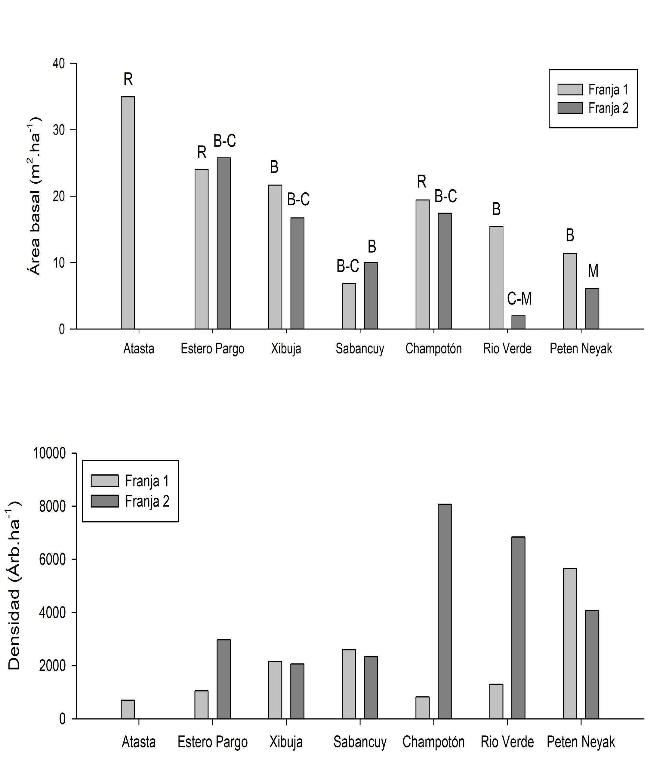
Fig. 8. Atributos forestales en siete sitios con mangle que bordean la línea a de costa del estado de Campeche, a través de perfiles al inicio del proyecto (Noviembre 2013). F1= bosque que bordea la línea de costa. F2= bosque interno.

Fig. 9. Atributos forestales en siete sitios con mangle que bordean la línea a de costa del estado de Campeche, a través de perfiles al final del proyecto (Noviembre 2016). F1= bosque que bordea la línea de costa. F2= bosque interno.