Restauración, conservación y manejo sostenible de los manglares de Costa Rica y Benín frente al cambio climático (Cuajiniquil)

Se llevó a cabo un recorrido en las áreas propuestas para restauración, con el fin de obtener datos sobre las actividades ejecutadas a través del tiempo en el área de interés, y de esta manera el establecer el grado y tipo de presión a la cual ha estado sometido el humedal. Registrándose que la extracción de la sal fue la actividad que ejerció mayor presión e incluso generó la mortalidad de los manglares por la deforestación, fragmentación del hábitat y el incremento de la salinidad en el suelo y agua (Figura 1). Asimismo, se definió adyacente al área de restauración, dos bosques dominados por Avicennia germinans como referencia y productor de germoplasma (Figura 2).

Se determinó la adecuación e instalación del material necesario para la determinación de la productividad primaria en términos de hojarasca y las condiciones químicas del agua intersticial. Esto mediante la fabricación e instalación de 10 canastas de defoliación, 5 por bosques. Además, de elaborar 10 tubos colectores del agua intersticial; instalando dos por bosque (Franja) y 6 en la zona de restauración a una profundidad de 60 cm del suelo; para llevar a cabo el monitoreo de los parámetros fisicoquímicos in situ. Se fabricaron 9 calcetines con peat moss, instalando 6 por bosque en cada sitio, para estimar la productividad de raíz anual.

Es importante mencionar que la adecuación de material se realizó en las instalaciones de la Fundación Neotrópica (Figura 3); sin embargo, en el sitio de Cuajiniquil un grupo de señoras de la comunidad fueron capacitadas para elaborar canastas de defoliación y colectar la hojarasca, mensualmente.

Fig. 1. Sitio de restauración ubicado en la comunidad de Cuajiniquil, Costa Rica.

Fig. 2. Bosques de referencia ubicado en la comunidad de Cuajiniquil, Costa Rica.

Fig. 3. Fabricación de canastas de defoliación, calcetines de peat moss, y adecuación de tubos colectores de agua intersticial en las instalaciones de la Fundación de Neotrópica en Costa Rica.

Durante el trabajo de campo del mes de agosto 2018 en los dos bosques de referencia (Cuajiniquil), se determinó la estructura forestal arbórea con la ayuda de integrantes de la SINAC. Asimismo, se capacitó a un grupo de mujeres de la comunidad de Cuajiniquil para la colecta de muestras de núcleos de madera, hojarasca de suelo, sotobosque y neumatóforos en este sitio. Lo anterior con el fin de crear una apropiación del proyecto por parte de la comunidad (Figura 4).

Fig. 4. Determinación de la estructura forestal, extracción de núcleos de madera y colecta de hojarasca de suelo.

La determinación de los parámetros fisicoquímicos in situ del agua intersticial se efectuó mediante una sonda multiparamétrica mensualmente, por cada bosque de referencia y zona de restauración de Cuajiniquil. Posterior a la medición, se colectaron muestras de agua para la preparación y envío a México en donde serán analizadas, mediante la técnica de cromatografía iónica. Lo anterior, capacitando al equipo de la Fundación Neotrópica y SINAC (Figura 5).

Fig. 5. Medición de los parámetros físicos y químicos del agua intersticial, a cargo de personal de SINAC, EPOMEX y Fundación Neotrópica.

Por otra parte, durante las dos visitas de campo (agosto y noviembre-diciembre de 2018) por parte del Instituto EPOMEX, se llevó a cabo la extracción de núcleos de sedimento en los bosques de referencias y zonas de restauración de los sitios en estudio, para su posterior análisis en laboratorio (Figura 6). Esta extracción se realizó en diferentes profundidades de acuerdo con lo propuesto por Krauffman et al. (2015).

Fig. 6. Extracción de núcleos de sedimentos en el sitio de referencia de Cuajiniquil, a cargo de personal de la SINAC, para su posterior análisis en laboratorio.

En la salida de campo de noviembre y diciembre 2018, se efectuó el levantamiento topográfico (Figura 7), instalación de Data logger (Thalimedes), extracción del gas metano (Figura 8) en los bosques de referencia y zona a restaurar.

Fig. 7. Levantamiento topográfico en las áreas de restauración de Cuajiniquil, Costa Rica.

Fig. 8. Extracción de muestras de gases a cargo de personal de la SINAC en Cuajiniquil.

Condiciones ambientales en el bosque de referencia de agosto a diciembre de 2019.

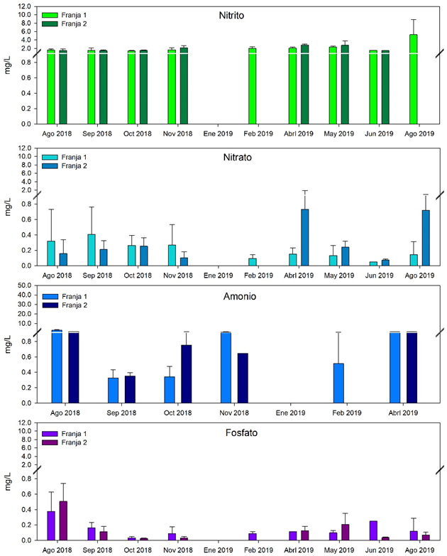
Zona de referencia: en general los bosques que componen la zona de referencia establecieron condiciones ácidas (6.7±0.4, óxicas (11.5±92.3 mV) y mesohalinas con tendencia euhalinas (43.3± 13.8. Figura 9). Al analizar el comportamiento de los parámetros físicos y químicos a lo largo del perfil de vegetación se estableció la disminución de la salinidad en el bosque de la Franja 1 de 6.1±8.7 ups del 2018 al 2019. Asimismo, en la franja 2, con 12.6±9.8 ups (Figura 10). Esto debido al aumento en las escorrentías, al presentarse en estos meses las máximas lluvias; así como, por el aumento del caudal del estero adyacente debido al proceso de rehabilitación hidrológica de este y el área adyacente a estos bosques.

El potencial redox exhibió condiciones óxicas de agosto del 2018 a la fecha de 16.7 a -38.0 mV, con pH de tipo ácido con tendencia a neutra, con excepción de noviembre que registro valores alcalinos (Figura 10). La temperatura fluctuó de 27.2±0.25 a 30.2±0.71 °C (Figura 9). Con respecto al estado trófico, este se caracterizó por ser de tipo mesotrófico con promedio en la concentración de los compuestos nitrogenados oxidados de 2.3 ± 0.2 mg/L y fosfatos, con 0.5 ± 0.2 mg/L (Figura 10).

Hacia el interior del bosque se exhibió condiciones óxicas (-12.4 ± 110 mV), con temperatura en promedio de 27.9±0.8 oC, e incremento de 7 UPS en la salinidad, comparado con la franja 1 en el 2018 y para el 2019 las concentraciones en ambas franjas se mantuvieron cercano a 15 UPS (Figura 9). Razón por la cual, a través del tiempo, el comportamiento de la salinidad exhibió similar patrón a lo largo del perfil de vegetación (Figura 9). Al establecer comparaciones en las concentraciones entre los mismos meses del 2018, con respecto al 2019 se registra la disminución de la salinidad de 6.7 UPS; siendo esto probablemente un efecto de la rehabilitación hidrológica del estero, puesto que este se encuentra adyacente a ambos bosques (franja 1 y 2) y durante las mareas más altas se inundan. El nivel trófico en esta franja no estableció diferencias, con respecto a la franja 1 en la concentración de los compuestos nitrogenados oxidados y de los fosfatos, manteniendo las condiciones mesotróficas de agosto de 2018 a abril de 2019 (Figura 10).

Fig. 9. Comportamiento de los parámetros físicos y químicos del agua intersticial de agosto de 2018 a enero de 2020 en un bosque de Avicennia germinans (referencia) ubicado en Cuajiniquil, Costa Rica.

Es relevante mencionar que las características ambientales están definidas por el incremento en el nivel topográfico; lo anterior aunado al comportamiento del pH y temperatura (Figura 9), que en su conjunto establecen condiciones ácidas. Esta acidez, está relacionada con la degradación de materia orgánica y la entrada de sulfatos provenientes del agua de mar (Figura 10). Puesto que al entrar al humedal el agua de mar, en presencia de materia orgánica se forma ácido sulfhídrico, cuando estos son expuestos a condiciones de secado (bajamar), aceleran la oxidación bioquímica de los materiales orgánicos y de los sulfhídricos, en conjunto de la entrada de agua dulce con pH ácido (Suprayogi y Murray, 1999; Batlle- Sales et al., 1994; Moreno et al., 2002); comportamientos expuestos en la localidad de estudio. Por otra parte, la alcalinidad del agua en el mes de noviembre de 2018 puede ser atribuido al mayor aporte de agua marina proveniente de eventos denominados como “Nortes”.

Fig. 10. Concentración de nutrientes del agua intersticial en los bosques de mangle ubicados adyacente al poblado de Cuajiniquil, Costa Rica. * Diciembre de 2018, enero y marzo de 2019 sin datos.

Condiciones ambientales en área de restauración antes de la rehabilitación hidrológica (de agosto a diciembre de 2019).

Zona de restauración: : en general presentaron condiciones de óxicas de agosto a diciembre del 2018 derivado de la influencia del canal de comunicación ubicado adyacente al área de restauración. Sin embargo, el tubo 5 y 6 registro anoxia por el incremento en la topografía, exhibiéndose diferencias significativas entre los bosques de referencia y el área de restauración (Figura 11). Situación que se expresa con la concentración de la salinidad, de 73.8± 9.4 UPS, superior a lo registrado en el resto del área de restauración (50.2±14.8 UPS) (Figura 12).

Es relevante mencionar que durante el mes de septiembre y noviembre del 2018 se exhibió condiciones hipóxicas tendientes a la anoxia en el área del tubo 5 (se indica en la gráfica del mes de septiembre color rojo); estableciéndose mayor estrés para las diferentes especies de mangle, en esta área al presentar condiciones hipersalinas.

Fig. 11. Comportamiento del potencial redox del agua intersticial (mV) de agosto a diciembre de 2018 en un bosque de mangle degradado, ubicado en Cuajiniquil, Costa Rica.

Fig. 12. Comportamiento de la salinidad del agua intersticial (UPS) de agosto a diciembre de 2018 en un bosque de mangle degradado, ubicado en Cuajiniquil, Costa Rica.

En el caso del pH y las temperaturas registraron homogeneidad en toda el área, bajo condición ligeramente ácidas a neutras de 6.7 ±0.3 y con 29.0 ±0.67 oC (Figura 15). Con respecto al estado trófico, este se caracterizó por ser de tipo hipertrófico con promedio en la concentración de los compuestos nitrogenados oxidados, de 1.81 ± 0.1 mg/L y fosfatos, con 0.85± 0.30 mg/L (Figura 15). Esto debido al aportes del agua residual urbana de la población adyacente al área de restauración, en conjunto de los escurrimientos durante la época de lluvias e incluso derivado de este escenario se registró intervalos en la concentración del amonio desde 2.52 hasta 13.99 mg/L (Figura 15). Esto es sustentado con el incremento de los fosfatos en el mes de junio y agosto del 2019, puesto el acarreo de nutrientes de origen antrópico, debido a la mayor remoción y arrastre de sedimento durante las lluvias, mejora hidrológica en el área de restauración.

Fig. 13. Comportamiento del pH en el agua intersticial de agosto a diciembre de 2018 en un bosque de mangle degradado, ubicado en Cuajiniquil, Costa Rica. *Sin dato sensor descompuesto.

Fig. 14. Comportamiento en la temperatura intersticial (oC) de agosto a diciembre de 2018 en un bosque de mangle degradado, ubicado en Cuajiniquil, Costa Rica.

Fig. 15. Comportamiento de la concentración de los nutrientes en el agua intersticial de agosto de 2018 a agosto de 2019 en un bosque de mangle degradado, ubicado en Cuajiniquil, Costa Rica.

Parámetros físicos y químicos del sedimento.

Las características principales del sustrato de los manglares son la humedad, textura, salinidad, potencial redox y composición química; estos se deben principalmente a la evolución del pasado y presente de los procesos geomórficos. Los manglares reflejan cada uno de estos procesos respondiendo a los gradientes ambientales de la elevación, drenaje, estabilidad, características del suelo, y de las entradas de nutrientes. Escenarios que se han publicado en diversas partes del mundo (Woodroffe, 1983, 1992; Fujimoto et al., 1996).

Para la caracterización química de la turba de manglar se colectaron núcleos por cada tipo fisonómico (sitio) para cada localidad en estudio. Todo ello, a través de la extracción de núcleos con una profundidad máxima de 50 cm.

Los resultados indican que las zonas de referencia y área de restauración presentan características ácidas con condiciones óxicas; sin embargo, la temperatura presenta un incremento de 3°C y 4°C en la zona restauración, con respecto a las franjas 1 y 2 de la zona de los bosques de referencia (Figura 16).

Fig. 16. Comportamiento promedio de los parámetros fisicoquímicos del suelo antes de la restauración de un bosque de mangle degradado ubicado en Cuajiniquil, Costa Rica.

Condiciones ambientales en el área de restauración después de las acciones de rehabilitación hidrológica.

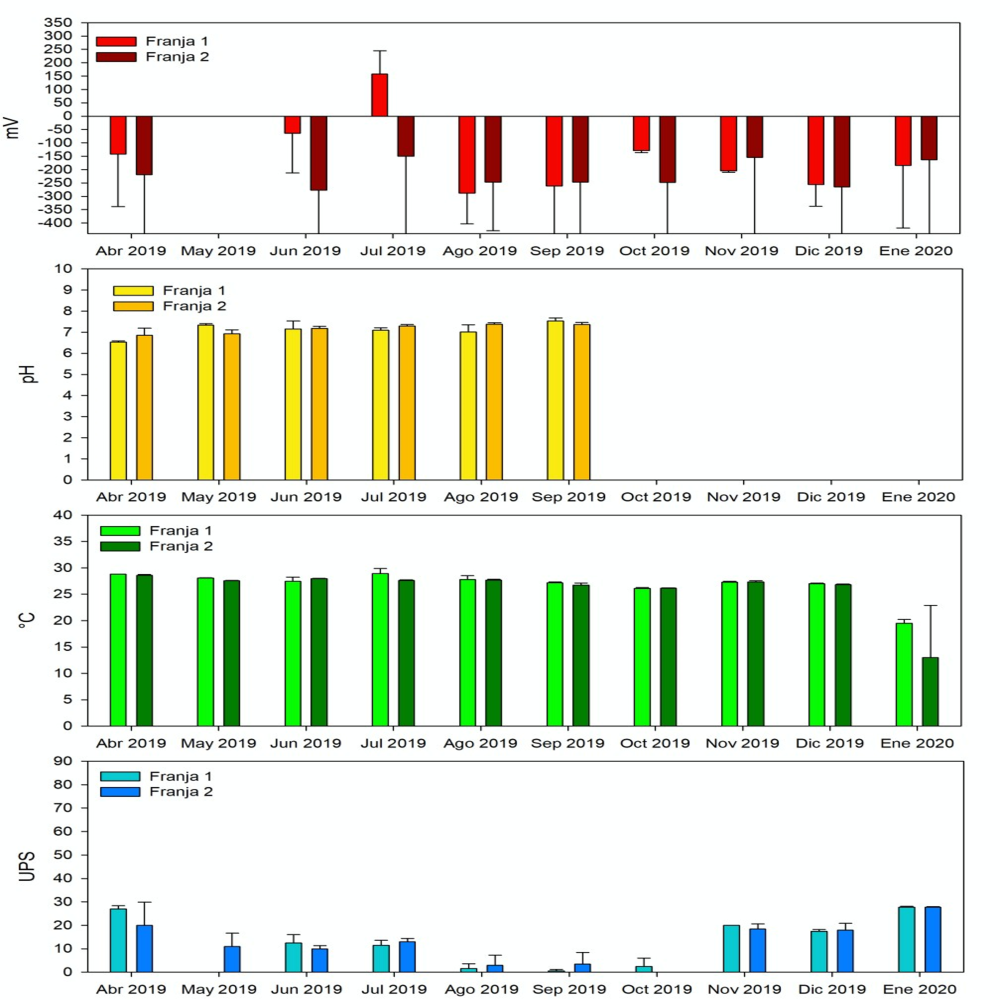
Las acciones de rehabilitación hidrológica generaron condiciones del agua intersticial de mayor oxidación. A pesar de la resuspensión de la materia orgánica durante el mes de marzo y abril, 2019 al construirse los canales artificiales. Asimismo, estas acciones provocaron condiciones óxicas, con 73.2 ±65.6 mV (F1,134 = 1.78, p≤0.172. Figura 17); sin embargo, no se estableció diferencias significativas. En el caso del comportamiento de la salinidad, se exhibió un proceso de lavado del sedimento, con salinidad promedio de 33.6±16.7 ups, y disminución promedio de 23.0 UPS (Figura 17).

Por otra parte, derivado de la conexión de los canales artificiales internos, con el estero y el desazolve de este, la entrada del agua de mar y mayor oxigenación del sedimento; los valores del pH se modificaron a condiciones alcalinas en un 80% del área total (Figura 17). Esto ratificado con el incremento de la concentración de los sulfatos desde abril hasta junio del 2019, elemento mayoritario del agua de mar. Al comparar el periodo de enero a julio del 2019, se establece la disminución de la salinidad de 10 UPS, con excepción del área donde se ubica el piezómetro T21, esta se ha incrementado 15 UPS (Figura 17). Esto debido a la dilución de las sales que se encuentra concentrada en el sedimento, por las acciones de evaporación del agua de manera continua, durante el proceso de producción de sal. Puesto esta área fue asignada como posa de evaporación. La temperatura y el potencial redox, se ha mantenido bajo las mismas condiciones de 2019 al 2020, 32.2±1.1oC y óxicas, con 175.2±64.2 mV.

Fig. 17. Comportamiento del potencial redox en el agua intersticial de agosto de 2018 a diciembre de 2019 antes y después de la rehabilitación hidrológica en un bosque de mangle degradado ubicado en Cuajiniquil, Costa Rica.

Al realizar la comparación entre las condiciones que caracterizaban el área de restauración durante el diagnóstico puntual inicial y las condiciones a octubre de 2019, exhiben 33.6 UPS menos (Figura 17). Concentraciones ideales para el crecimiento de Avicennia germinan y Rhizophora mangle.

La temperatura del agua intersticial desde agosto de 2018 a diciembre de 2019 disminuyo solo 1.2 °C, con valores 30.0 ± 1.4 oC (Figura 17) y en el caso del pH en condiciones neutras desde 6.9 a 7.3 (Figura 17), sin diferencias significativas en ambos parámetros, antes y después de la rehabilitación hidrológica.

El estado trófico se caracterizó por ser de tipo hipertrófico con promedio en la concentración de los compuestos nitrogenados oxidados, de 3.7 ± 0.09 mg/L y fosfatos, con >2.0 mg/L (Figura 16), debido al aportes del agua residual urbana que descargaba adyacente al área de restauración, en conjunto de los escurrimientos del agua durante la época de lluvias. Con respecto a la temperatura se observó homogeneidad desde el 2018 a agosto de 2019, con excepción del mes de observa incremento de 2.8oC después de las acciones de la rehabilitación, esto derivado de la demanda de oxígeno, por los procesos bacterianos y la menor entrada de agua dulce.

Optimización en el monitoreo de los parámetros fisicoquímicos: Se renumeraron los piezómetros en las 7 ha de restauración y bosques de referencia (Figura 18), con el fin de detectar los cambios en las condiciones fisicoquímicas en el agua intersticial y establecer con mayor precisión la causa y el efecto en las variables biológicas causadas por la rehabilitación hidrológica.

Fig. 18. Asignación de nomenclatura de las áreas que componen las 7 ha de restauración en Bahía Thomas, Cuajiniquil. Costa Rica.

Clima.

Para elaborar el climograma, identificar el tipo de clima por año y estaciones del año, se colectaron datos sobre la precipitación mensual de enero de 2018 a abril de 2022 de la estación meteorológico 787740 (MRLB (https://www.tutiempo.net/clima/ws-787670.html) Liberia de la estación meteorológica más cercana al área de restauración (Figura 19). Al comparar los periodos de enero a junio del 2018 y 2019, se estable la disminución del 15.8%, con ausencia de lluvia en el mes de enero y abril del 2019, además de una disminución del 46.4% comparando entre junio del 2018 y 2019 (Figura 19). Esto atribuido a los efectos del cambio climático que están incidiendo en los ambientes costeros principalmente en los patrones de temperatura y precipitación. Similares resultados fueron registrados en Cotonou, África, así como en el área de los manglares del Estado de Campeche, al establecer cambios atípicos interanuales en la precipitación y entre las épocas del año, durante el periodo del 2006 al 2009, como reflejo de la variabilidad climática a nivel global (Agraz Hernández et al., 2017). Diversos autores indica que los efectos del cambio climático propician modificaciones en la temperatura del aire y la precipitación, aportes de agua dulce, la circulación oceánica y atmosférica, y la tasa de elevación del nivel del mar; así́ como la estacionalidad y distribución de los huracanes y las tormentas tropicales (Blasco et al., 1996; Scavia et al., 2002). Sin embargo, del periodo de enero a julio de 2020, se incrementó el 24.0% de la lluvia y 1.3°C en la temperatura (Figura 19) y el déficit de la lluvia aumenta, pues del 2020 al 2021 disminuyo 4.3%. Al realizar un análisis del periodo de 2018 al 2021 se establece dimisión de la lluvia del 33.6% (Figura 19).

Fig. 19. Precipitación total de enero de 2018 a abril de 2022 en Liberia, Costa Rica. Datos reportados por la estación meteorológica: 787740 (MRLB). Latitud: 10.61 | Longitud: - 85.55 | Altitud: 50.

Distribución microtopográfica.

La distribución microtopográfica corregida al nivel medio del mar (NMM) en el área de restauración establecen dos escenarios: a) con mayor nivel, de 0 a 35 cm y b) menor nivel, de -15 a 5 cm (Figura 20). En el caso del bosque de Avicennia germinans, fue de 0 a 55 cm. Con base a esta información, se realizó la reforestación mediante el método siembra directa de A. germinans y con siembra directa en el borde con hipocótilos de R. mangle, dependiendo de las condiciones fisicoquímicas del agua intersticial. Acción que se expresa positiva para el 2019, son debido a la disminución de la salinidad y el mantenimiento de las condiciones óxicas del agua intersticial. Así como, el funcionamiento de los canales, donde se ha establecido mayor frecuencia y amplitud de inundación, además de menor tiempo de residencia del agua.

Fig. 20. Distribución microtopográfica de un bosque de mangle degradado ubicado en Cuajiniquil, Costa Rica. Datos corregidos al nivel medio del mar.

Comportamiento hidrológico antes de las acciones de rehabilitación hidrológica.

Se determino el comportamiento del agua intersticial antes de la excavación de los canales artificiales, exhibiendo antes de las acciones de rehabilitación hidrológica con tiempos de residencia muy altos, sin capacidad de detección de los Data loggers. Es relevante mencionar que los resultados que se describen a continuación no están corregidos al nivel medio del mar y nivel topográfico, solo se describe la oscilación del agua intersticial.

El comportamiento del agua intersticial en el área de restauración oscilo entre -4.0 a 31 cm, con una variación de 3.0 cm sobre un cero preestablecido. Caso contrario al bosque de Avicennia germinans donde hubo mayor oscilación del agua, desde 35 hasta 10 cm, con una variación de 1.8 cm. En específico el estero adyacente al bosque de referencia y área de restauración, registró oscilaciones de 59 a 63 cm y variaciones de 0.54 cm. Escenario que ha propiciado la alta salinidad, causado por la deforestación del manglar, fragmentación para la construcción de estanques para la producción de sal y por el azolvamiento del estero. Estos resultados fundamentales que justifican la necesidad de la rehabilitación del hidroperíodo.

Estructura forestal y tipos fisonómicos de los bosques de referencia.

Los bosques de referencia se encuentran adyacente a la zona de restauración, está compuesto por dos bosques monoespecíficos de Avicennia germinans. El bosque de la franja 1, define fisonomía de tipo borde con tendencia a cuenca, con un área basal de 19.1±6 m2. ha-1, densidad de 1,255±204 Indv.ha-1 y altura de 6.3±0.7 m (Figura 21). Sin embargo, es importante mencionar que este bosque presenta el mayor porcentaje de fustes, tala y mortalidad, con valores de 29 %, 5% y 22%, respectivamente. Asimismo, hacia el interior del bosque (franja 2) los atributos forestales definen a un bosque tipo cuenca (15.4±5 m2. ha-1, 1,950±494 Indv.ha-1 5.7±0.3 m), con baja formación de fustes con respecto al bosque de la franja 1 (5%) (Figura 21).

Fig. 21. Perfil de vegetación del sitio Cuajiniquil, Costa Rica.

Los atributos forestales, el porcentaje de fustes, tala y mortalidad del manglar de referencia permiten considerarlos como “bosques secundarios”. Debido a las modificaciones sufrido en la estructura y función a través del tiempo, por actividades relacionadas a la extracción de sal, tala, construcción de caminos rústicos e incremento en el nivel topográfico; causando cambios en las condiciones ambientales, principalmente en el comportamiento del hidroperíodo, incremento de la salinidad y condiciones más reducidas; provocando la modificación de la especie dominante, de Rhizophora mangle a Avicennia germinans. Pues diversos autores mencionan que los cauces de ríos, arroyos con caudal medio, estero y estuarios se caracterizan principalmente por estar dominado por R. mangle.

Producción de hojarasca y comportamiento fenológico.

Se estableció a lo largo del perfil de vegetación disminución de la producción de hojarasca y del tejido fotosintético, desde el bosque más cercano al estero (franja 1), con 1,003.0 ± 24.3 g.m2.año-1 en el 2019 y 438.9 ± 14.7 g.m2. año-1 en las hojas; comparado con bosque interno (franja 2), de 760.6±270.6 g.m2.año-1 en la hojarasca y 554.7±51.6 g.m2. año-1 en las hojas. Ambos bosques producen menos del 55.3% de hojas, a partir de la producción total de la hojarasca. Razón por la cual debe ser reclasificado como bosques “secundario y con baja productividad ante estrés”. Información que sustenta la necesidad de establecer como política ambiental la restauración en el área de Cuajiniquil (Figura 22). Con respecto a la producción de los propágulos en la franja 1 y 2, solo se ha registrado la presencia de julio a agosto. Esto puede ser atribuido al estrés que se registró en los bosques de referencia durante el diagnóstico ambiental puntual. Es relevante mencionar que la producción de los propágulos fue muy baja y de mala calidad. Razón por la cual, el programa de reforestación cambio la técnica de voleo a plántulas del soto bosque.

Se colectó la hojarasca de enero a febrero de 2020 en promedio se ha registrado 1,094.6 ± 10 g.m2. año-1 en los bosques de Avicennia germinans de referencia. Este trabajo ha sido realizado por Área de Conservación Guanacaste Sistema Nacional de Áreas de Conservación (ACG) y en actualmente ACG se encuentra resguardando las muestras de junio del 2020 a abril de 2022. Por lo cual, en la siguiente misión de los participantes del Instituto EPOMEX, apoyaran en el procesado de muestras (separado y pesado por componente).

Fig. 22. Comportamiento de la reproducción fenológica de dos bosques de mangle monoespecíficos de Avicennia germinans (septiembre de 2018 a febrero de 2020) ubicados en Cuajiniquil, Costa Rica. (a) Franja 1 y (b) Franja 2.

Concentración de metano en un bosque con dominancia de Avicennia germinans y el área de restauración

En general las emisiones de metano en los bosques de referencia y zona de restauración registraron concentraciones bajas. En particular para septiembre de 2018 las emisiones fueron muy bajas, e indetectables.

En Cuajiniquil se registran emisiones bajas tanto en lluvia como en estiaje desde el 2018 a marzo de 2022, comparado con Térraba Sierpe (Figura 23). Esto probablemente es atribuido a la alta concentración de salinidad, a pesar de recibir los bosques agua residual urbana, y caracterizarse por presentar tiempos de residencia altos del agua, y baja amplitud de inundación. De Laune et al. (1983) y Bartlet et al. (1985) indican que, al incrementarse la salinidad, disminuye la producción de metano. Por su parte, Moreno-Corrales y Niell-Castanera (2008) reportan que en humedales costeros con altas concentraciones de salinidad exhiben ausencia de producción de metano. En el caso de Térraba Sierpe se exhibe la mayor emisión em la época de lluvias, esto debido al mayor aporte del agua residual y agrícola. May-Collí (2017) registro la mayor emisión de metano en bosques de mangle que recibe aportes de agua residual urbana.

Fig. 23. Emisiones de metano en septiembre y diciembre de 2018 en dos de mangle degradados y dos bosques monoespecíficos de Avicennia germinans y uno mixtos de Rhizophora mangle y Rhizophora racemosa, en Costa Rica. TCR: Térraba-Sierpe (TCR) y CCR: Cuajiniquil (CCR). *Emisiones bajas, indetectable.

Restauración

Los resultados obtenidos en el diagnóstico ambiental puntual del humedal ubicado adyacente a la comunidad de Cuajiniquil, Costa Rica; exhibió 7 ha de suelo descubierto de vegetación (donde hubo manglar), rodeado de manglares con alto grado de degradación. Esto derivado de la fuerte presión que ejercieron las diversas actividades antropogénicas y eventos hidrometeorológicos en el humedal a través del tiempo, ocasionando pérdida de la estructura y funcionalidad del ecosistema. Esto principalmente por la hipersalinidad en suelo y agua, cambios en el comportamiento hidrológico y dinámica de los sedimentos, fragmentación del humedal al construirse salineras y caminos rústicos construidos para facilitar la pesca ribereña. Modificaciones que a su vez han generado condiciones anóxicas e hipóxicas en el agua intersticial y suelo. Condición ambiental que ha sido generada por los aportes continuos del agua residual urbana, provocando no solo anoxia, sino también baja calidad del agua. Razón por la cual, se generó la inhibición del crecimiento y muerte de los manglares, además de la disminución de la productividad y actividad fotosintética y enzimática en las diferentes especies de mangle que habitan en bosques adyacentes al área de restauración (7 ha), que, con el tiempo y el estrés continuo, su estructura y función mermo, y creo un bosque “secundario” (Bosque de referencia franja 1), con cambios en la especie dominante original; de Rhizophora mangle a Avicennia germinans.

Ante lo citado, la propuesta de restauración de las 7 ha de mangle se definió como acciones de rehabilitación hídrica, la excavación y desazolve de un canal principal, canales secundarios y un perimetral interconectados entre sí (Figura 24). Con el fin de propiciar cambios en las condiciones ambientales a largo plazo. Este diseño permitió incrementar la velocidad de salida del agua por varias vías durante las mareas (pleamar y bajamar), disminuyendo el tiempo de la rehabilitación hidrológica, el cambio en las condiciones químicas y físicas del agua intersticial y en el sedimento; al magnificar la tasa de dilución al conectar el canal natural (por desazolvar) y el agua dulce.

Estableciéndose con ello, mayor probabilidad de sustentabilidad funcional de los canales artificiales de manera integral (auto sustentabilidad). Asimismo, el desazolve del canal natural resulto prioritario, pues el diseño de la restauración en cuestión plantea la conexión hidrológica integral, tal como se lleva de manera natural entre los humedales; contemplándose con ello, la mejora en las condiciones ambientales de bosques adyacentes al área restaurada. Para el desazolve del canal natural se gestionó por parte del SINAC los permisos correspondientes.

Fig. 24. Diseño de los canales artificiales para la rehabilitación hidrológica en un bosque de mangle degradado de Cuajiniquil, Costa Rica. T#: Piezómetro donde se determina y toma muestras para los parámetros fisicoquímicos del agua intersticial.

Al aplicar las técnicas de rehabilitación hidrológica en la superficie señalada, mejoró las condiciones ambientales existentes en el sitio y en los bosques aledaños a la zona de restauración, mejorando el hidroperíodo y la química del agua intersticial; tal como se comentó en los capítulos antes citados. Se redujo el exceso de la salinidad a la fecha 33 UPS menos a octubre del 2019, manteniéndose las condiciones óxicas en la zona del sistema radicular de las plántulas de mangle y disponibilidad de nutrientes disueltos y disponibles para la vegetación.

En el año 2019 permitió incrementar el follaje de los matorrales de mangle y sobrevivencias superiores al 85% de las plántulas reforestadas de A. germinans y R. mangle. Como resultado, de la rehabilitación hidrológica, se ha estimulado la regeneración natural de Laguncularia racemosa y Avicennia germinans del ecosistema en toda el área de restauración, al restituir el flujo hidrológico.

La restauración en el sitio de Cuajiniquil a la fecha registra indicios de recuperación de hábitat para cangrejos, mamíferos menores y aves.

Fig. 25. Reforestación in situ con hipocótilos de Rhizophora mangle y plántulas de Avicennia germinans del sotobosque en el área de restauración ubicada adyacente al poblado de Cuajiniquil, Costa Rica. (fecha de reforestación octubre y noviembre de 2019).

1) Monitoreo de las condiciones ambientales: se continuó y continuará con el monitoreo de manera mensual de los parámetros fisicoquímicos del agua intersticial por parte de ACG_ SINAC hasta concluir con los trabajos de mantenimiento de los canales artificiales,

2) Monitoreo de variables biológicas: El monitoreo del crecimiento de las plántulas reforestadas inició en noviembre de 2019, determinándose la altura total y numero de hojas. Esto mediante seis parcelas de 5 x 5 m. En el mes de abril de 2020 se reinstalaron 34 parcelas, con 612 plántulas depara el seguimiento de la altura, diámetro y numero de hojas en A. germinans distribuidas en las 7 ha restauradas (Figura 26). Se reinstalaron 3 parcelas, con 40 plántulas de R. mangle (Figura 26), así mismo se instalaron 8 parcelas, con 28 plántulas de L. racemosa establecidas por efectos de la rehabilitación hidrológica (regeneración natural) en el mes de mayo de 2020 (Figura 27). Definiéndose las parcelas y seleccionando las plántulas para la medición morfometría, con base al comportamiento de distribución por grupos (Figura 27).

Fig. 26. Distribución de las parcelas de monitoreo morfométrico de plántulas de Avicennia germinans e hipocótilos de Rhizophora mangle reforestados en el área de restauración de Bahía Tomas, Cuajiniquil. Costa Rica (Año 2020).

Fig. 27. Distribución de las parcelas de monitoreo morfométrico de plántulas de Laguncularia racemosa establecidas por regeneración natural en el área de restauración de Bahía Tomas, Cuajiniquil. Costa Rica (Año 2020).

Los resultados establecieron mayor crecimiento en términos de altura en las plántulas de R. mangle en comparación que A. germinans (Figura 24). Sin embargo, al comparar las velocidades de crecimiento en términos de altura y diámetro en el año 2020, se registró mayor velocidad por A. germinans, con 0.17±0.08 cm y 0.6±0.2 cm, respectivamente. Posteriormente L. racemosa, de 0.13±0.07 cm y 0.6±0.2 cm (Figura 28).

La producción de hojas fue 27.9% más en L. racemosa, con respecto a R. mangle y A. germinans, incrementándose el 54.2% de la biomasa de mayo a julio del 2020. Caso contrario con R. mangle y A. germinans, que incremento tan solo 25.0% (Figura 28). En el caso de R. mangle, presento los menores crecimiento, con 0.10±0.02 cm y 0.2±0.1 cm (Figura 28).

Fig. 28. Monitoreo morfométrico de las plántulas de Avicennia germinans del sotobosque e hipocótilos de Rhizophora mangle reforestados in situ y plántulas de Laguncularia racemosa establecidas por regeneración natural en el área de restauración de la Bahía Tomas, Cuajiniquil. Costa Rica. a) Altura, b) Diámetro, c) Producción de hojas. Periodo de abril a mayo de 2021.


Galería

  • Todo
  • Determinación de carbono
  • Restauración
  • Comportamiento de los canales artificiales