Restauración, conservación y manejo sostenible de los manglares de Costa Rica y Benín frente al cambio climático (Térraba Sierpe)

se llevó a cabo un recorrido en las áreas propuestas para restauración, con el fin de obtener datos sobre las actividades ejecutadas a través del tiempo en el área de interés, y de esta manera establecer el grado y tipo de presión a la cual ha estado sometido el humedal. Registrándose cambios hidrológicos y en la dinámica de los sedimentos importantes, causado por la fragmentación del hábitat, asentamiento urbanos, deforestación y aportes importante de agua residual urbana que han generado mala calidad del agua tanto en el cauce del río como en el agua intersticial en los manglares; generando efectos negativos importantes como desplazamiento del hábitat de los manglares, por una especies invasiva (Acrostrichum aureum), pérdida de la fertilidad del suelo y azolvamiento de canales e incremento de la topografía e incluso en algunos sitios mortalidad de los manglares. Se definió un sitio de 6 ha para realizar la restauración y bosques dominados por Rhizophora mangle como referencia y posible productor de germoplasma (Figura 1 y 2).

Fig. 1. Sitios de restauración (Latitud 8º 52´20. 99” N y Longitud 83°31´50.96” O) y bosque de referencia con dominancia de Rhizophora mangle ubicado en los Humedales de Térraba Sierpe, Costa Rica.

Fig. 2. Apertura de brechas en el área de restauración en el Humedal de Térraba Sierpe, Costa Rica.

Condiciones ambientales en el bosque de referencia de febrero a diciembre de 2018 y zona de restauración antes de la rehabilitación hidrológica.

Zona de referencia: las condiciones ambientales del agua intersticial establecieron pH neutros en el 2018 y 2019, de 7.0 ± 0.1 y 7.0± 0.3, bajo condiciones óxicas (-108.6 ± 68.0 y 4.7± 147.2 mV), con temperatura constantes de 28.4 ± 0.06 y 28.7 ± 0.7 °C y salinidades de tipo oligohalina (12.8 ± 4.0 y 15.84 ± 4.7 UPS), respetivamente (Figura 3). Se definieron condiciones mesotróficas por compuesto nitrogenados, de febrero a diciembre de 2018, incrementándose de enero a junio de 2019, de 1.95 mg/L a 2.28 mg/L, correspondientemente. Esto probablemente por aportes de fertilizantes usados en la agricultura en la cuenca, y aportados hacia el humedal.

Siendo relevante mencionar que las condiciones en los bosques de referencia de 2018 al 2020 se mantuvieron similares, de tipo neutras (7.0±0.07), con temperaturas promedio de 28.7±0.07 oC y condiciones óxicas (-46.6±116.4 mV). Pero no así con la concentración de la salinidad que se incrementó 23.3±6.90 UPS, esto atribuido al déficit de la precipitación y aumento de la temperatura ambiental. Con respecto del año 2021 no fueron colectados derivado de la pandemia y otros eventos (Figura 3).

Fig. 3. Parámetros fisicoquímicos en el agua intersticial de un bosque dominado por Rhizophora mangle y R. racemosa (referencia), ubicado en los Humedales de Térraba Sierpe, Costa Rica. *Sin dato de mayo, 2019 por fallas en el sensor.

Zona de restauración: en los años 2018 las condiciones del agua intersticial fueron ácidas con tendencia a neutras (6.9±0.4), óxicas (-41.7±114.2) y dulceacuícolas (6.1±5.8 UPS). Con respecto a las temperaturas, esta se mantuvo constante (28.9 ± 1.1 °C) (Figura 4).

En caso de las condiciones tróficas, se exhibió en el 2018 de tipo mesotróficas por compuestos nitrogenados en el agua intersticial, de 2.6±1.1 mg/L Concentraciones de denotan aportes de nutrientes de origen antropogénico. A pesar de la menor influencia del mar y salinidad que tiene el área de restauración, con respecto al bosque de referencia se registra en promedio similar concentración de sulfatos (elemento mayoritario del agua de mar). Esto como resultado de la rehabilitación hidrológica, con 841.91±543.5 mg/L.

Fig. 4. Parámetros fisicoquímicos en el agua intersticial en el área de restauración, dominado por Acrostrichum aureum (Negraforra) ubicado en los Humedales de Térraba Sierpe, Costa Rica.

Parámetros fisicoquímicos del sedimento.

Zona de referencia: : en general la tendencia de los parámetros fisicoquímicos muestra condiciones de acidez en el sedimento (6.5±0.16) y óxicas (-100±37 mV), con temperatura de 28±0.0.74 °C (Figura 5). Esto debido a gran cantidad de materia orgánica que aporta la vegetación, estableciendo condiciones ácidas por los procesos de degradación, sin llegar al déficit de oxígeno. Pues recibe continuamente descargas de agua dulce por escurrimiento y vía intersticial, así como la influencia de la marea, proporcionando compuestos oxidados como los sulfatos (mayoritario en el agua de mar). En conjunto del intercambio gaseoso tierra-agua- atmosfera.

Fig. 5. Parámetros fisicoquímicos del sedimento del bosque de mangle, dominado por Rhizophora mangle (referencia) y ubicado en los Humedales de Térraba Sierpe, Costa Rica

Zona de restauración: : Las condiciones en el sedimento se caracterizaron en general de tipo hipóxicas y ácidas desde la superficie hasta los 45 cm de profundidad con temperaturas de 27.6 ± 2.5 °C (Figura 6). Esto debido a la gran cantidad de materia orgánica que aporta la vegetación, estableciendo condiciones ácidas por los procesos de degradación, y déficit de oxígeno, causado por que la negraforra con el tiempo desarrolla gran cantidad de biomasa radicular, generándose con esto incremento de la topografía y limitación de la frecuencia de inundación superficial e intersticial.

Fig. 6. Comportamiento de los parámetros fisicoquímicos de sedimentos en la zona de restauración dominado por Acrostrichum aureum, ubicado en el humedal de Térraba Sierpe, Costa Rica.

Condiciones ambientales en la zona de restauración después de la rehabilitación hidrológica

Se registraron posterior a las acciones de rehabilitación hidrológica condiciones ácidas con tendencia a neutras (6.7±0.02), óxicas (-10.9±14.3) y dulceacuícolas (9.3±1.2 UPS). La temperatura se mantuvo constante, de 28.8±0.3 °C (Figura 7). En caso de las condiciones tróficas, se registró en febrero y abril de 2019, altas concentraciones de los compuestos nitrogenados, hasta 4.0±1.2 mg/L, caracterizándose como eutróficas; contribuyendo el amonio con 2.59±2.33 mg/L (Figura 8). Estas condiciones pueden ser atribuidas a los aportes de fertilizantes ricos en nitrógeno que son aportados a la zona por la influencia del río, la resuspensión de la materia orgánica durante las acciones de rehabilitación hidrológica.

Fig. 7. Comportamiento de la concentración de la salinidad a), valores del pH b) y potencial redox c) del agua intersticial después de la rehabilitación hidrológica (abril a junio del 2019) en un área dominada por Acrostrichum aureum, ubicado en el Humedal de Térraba Sierpe, Costa Rica.

Fig. 8. Concentración de nutrientes registrados en el 2019 después de ejecutar acciones de rehabilitación hidrológica en un área dominada por Acrostrichum aureum, ubicado en el Humedal de Térraba Sierpe, Costa Rica. a) nitritos; b) nitratos; c) amonio; d) fosfatos; e) sulfatos.

Para diciembre de 2019 las condiciones hidrológicas fueron consideradas claves para la sobrevivencia de los propágulos y plántulas reforestadas de Pelliciera rhizophoracea y Rhizophora mangle. (Figuras 9, 10, 11, 12). Pues se registraron similares concentraciones de sulfatos con el bosque de referencia (Figura 9, figura 12).

Fig. 9. Concentración de la salinidad en el agua intersticial antes y después de la rehabilitación hidrológica en los años 2018 y 2019 en un área dominada por Acrostrichum aureum, ubicado en el Humedal de Térraba Sierpe, Costa Rica.

Fig. 10. Temperatura del agua intersticial antes y después de la rehabilitación hidrológica en los años 2018 y 2019 en un área dominada por Acrostrichum aureum, ubicado en el Humedal de Térraba Sierpe, Costa Rica.

Fig. 11. Potencial redox del intersticial antes y después de la rehabilitación hidrológica en los años 2018 y 2019 en un área dominada por Acrostrichum aureum, ubicado en el Humedal de Térraba Sierpe, Costa Rica.

Fig. 12. Concentración de los sulfatos en el agua intersticial antes y después de la rehabilitación hidrológica en los sulfatos 2018 y 2019 en un área dominada por Acrostrichum aureum, ubicado en el Humedal de Térraba Sierpe, Costa Rica.

Clima.

Para elaborar el climograma, y poder identificar el tipo de clima y estaciones del año, se colectaron datos de la precipitación mensual de enero de 2018 a abril de 2022 de la estación meteorológica 787720 (MRLB (https://freemeteo.co.cr/eltiempo/palmar-sur/historia/historial-mensual/?gid=3622606&station=22037) Liberia de la estación meteorológica más cercana al área de restauración. Misma que se encuentra ubicada en el polígono de Palmar Sur, sitio más cercano al área de restauración (Figura 13). Para el año 2018 se registró la mayor precipitación de mayo a octubre, correspondiente al 77.6% del total anual y 14.7% de enero a abril.

Al comparar la precipitación anual entre los años 2018 y 2019, se registró incremento del 13.7% de mayo a octubre, déficit de enero a marzo en el 2019 e incremento de la temperatura de 1.2 °C; evento considerado como anómalo. Esto atribuido a los efectos del cambio climático que están incidiendo en los ambientes costeros principalmente en los patrones de temperatura y precipitación. Similares resultados fueron registrados en el área de los manglares del Estado de Campeche, al establecer cambios atípicos interanuales en la precipitación y entre las épocas del año, durante el periodo del 2007 al 2010, como reflejo de la variabilidad climática a nivel global (Agraz Hernández et al., 2017). Diversos autores indican que los efectos del cambio climático propician modificaciones en la temperatura del aire y la precipitación, aportes de agua dulce, la circulación oceánica y atmosférica, y la tasa de elevación del nivel del mar; así́ como la estacionalidad y distribución de los huracanes y las tormentas tropicales (Blasco et al., 1996; Scavia et al., 2002).

Del 2019 al 2020 se registró 24.7% en el déficit de la lluvia con incremento 3.5 ±1.2°C, a pesar de este escenario la sobrevivencia de las plántulas fue alta y se mantuvieron funcionando los canales artificiales (Figura 13). Para el 2021 se mantuvo similares precipitaciones que, en el año 2020, pero con menor temperatura (1.7 °C). Importantes resultados, pues ratifica que la conectividad hídrica y la restauración ecológica es fundamental para la permanencia de la cobertura de mangle y su recuperación.

Fig. 13. Precipitación total 2018, 2019, 2020, 2021 y 2022 en Palmar del sur, Costa Rica. Datos reportados por la estación meteorológica: 787720 (MRPM). Latitud: 8.95| Longitud: -83.46 | Altitud: 15.

Distribución microtopográfica.

La distribución microtopográfica fue corregida al nivel medio del mar (NMM) en el área de restauración donde registra el mayor nivel y distribución de Acrostrichum aureum, con respecto a Rhizophora sp. y Avicennia germinans, con diferencias en promedio de -36.4 cm y 23.3 cm, respectivamente. Información relevante para establecer en conjunto de las correcciones y conclusión de los canales excavados, tres tipos de reforestación en cada Unidad establecida en la zona de restauración de 7 ha (Figura 14).

Fig. 14. Distribución microtopográfica de un bosque de mangle degradado ubicado en el Humedal de Térraba Sierpe, Costa Rica. Datos corregidos al nivel medio del mar.

Comportamiento hidrológico antes de las acciones de rehabilitación hidrológica.

Se determinó el comportamiento del agua intersticial antes de la excavación de los canales artificiales, exhibiendo antes de las acciones de rehabilitación hidrológica con tiempos de residencia muy altos, sin capacidad de detección de los Data loggers. Es relevante mencionar que los resultados que se describen a continuación no están corregidos al nivel medio del mar y nivel topográfico, solo se describe la oscilación del agua intersticial.

El comportamiento del agua intersticial en el área de restauración osciló entre 0.2 a 22.3 cm, con una variación de 5.6 cm sobre un cero preestablecido. Caso contrario al bosque de Avicennia germinans donde hubo mayor oscilación del agua, desde -31 hasta 58 cm, con una variación de 18.7 cm.

Estructura forestal y tipos fisonómicos de los bosques de referencia

El sitio de referencia está compuesto por un bosque mixtos de Rhizophora mangle y Rhizophora racemosa; el cual define una fisonomía de tipo ribereña, con un área basal de 25.1 ± 5.3 m2. ha-1, densidad de 375 ±100 Indv.ha-1 y altura de 17.3±6.5m; atributos que se atribuyen a las condiciones ambientales que prevalecen en el sitio. La estructura registrada, es respuesta del constante aporte de agua dulce proveniente del río. Por otra parte, diversos autores mencionan que los bosques de mangle que bordean canales deltaicos, desembocaduras y cauces de los ríos, cuyos sustratos están constituidos por sedimentos aluviales, con alto concentración de materia orgánica, desarrollan los mayores atributos forestales, en términos de área basal y altura (Hernández-Trejo et al., 2006; Cintrón y Schaeffer-Novelli, 1983; Agraz-Hernández et al., 2007).

El comportamiento del agua intersticial en el área de restauración osciló entre 0.2 a 22.3 cm, con una variación de 5.6 cm sobre un cero preestablecido. Caso contrario al bosque de Avicennia germinans donde hubo mayor oscilación del agua, desde -31 hasta 58 cm, con una variación de 18.7 cm.

Productividad primaria (hojarasca)

La caída de hojarasca registrada en Térraba Sierpe se atribuye a las condiciones ribereñas del humedal, a las condiciones oligohalinas, concentración de nutrientes de origen alóctono (asentamientos humanos) y autóctonos (por lixiviación), que favorecen la producción de hojarasca, además por el tipo fisonómico ribereño registrado para el sitio de estudio. De esta manera, se obtiene para el 2019 una producción de hojarasca de 1,271.2±41.6 g.m2.11 meses-1 , la mayor producción de flores fue de febrero a mayo y de los propágulos de junio a julio de 2019 (Figura 15).

Información relevante para la conservación de las diferentes especies de mangle en Térraba Sierpe y los programas de restauración. Asimismo, se puede establecer que el bosque de referencias es “joven” y altamente productivo. Puesto que produce el 91% de hojas, sobre el total de la hojarasca. Snedaker y Lugo (1973) describe que los bosques de mangle en estado juvenil producen más del 60% de hojas, con respecto al 100% de la hojarasca. Cabe mencionar que a partir de marzo del 2020 a febrero de 2021 no se llevó a cabo el monitoreo a causa de la pandemia y otros eventos.

Fig. 15. Producción de hojarasca y comportamiento fenológico en bosque de Rhizophora sp ubicado en el humedal de Térraba Sierpe, Costa Rica. *La hojarasca de noviembre del 2019

Concentración de metano en un bosque con dominancia de Rhizophora mangle y la zona de restauración

Se determinó en los meses de septiembre y diciembre de 2018, así como octubre del 2019 exhibiéndose las mayores las emisiones de metano, en las épocas de lluvias debido al acarreo de materia orgánica proveniente de los asentamientos urbanos, actividad agrícola, entre otros (Figura 16), con 1.8 ± 0.09 CH4 mg/m2/h y 6 ± 0.1 CH4 mg/m2/h. Similares resultados fueron detectados por Chang et al. (1999) en China. Sin embargo, para el mes de diciembre de 2018, disminuyeron las emisiones de metano en los bosques de referencia, con 0.6 ± 0.1 CH4 mg/m2/h y en el área de restauración dominado por Negraforra, fue menor a 0.7 ± 0.3 CH4 mg/m2/h en diciembre de 2018 y octubre de 2019 (Figura 16). A pesar de establecerse mayores condiciones oligohalinas y eutróficas en el agua intersticial, se detectó menores emisiones de metano.

Fig. 16. Emisiones de metano en los años 2018 y 2019 en dos de mangle degradados y dos bosques monoespecíficos de Avicennia germinans y uno mixto de Rhizophora mangle y Rhizophora racemosa, en Costa Rica. TCR: Térraba-Sierpe (TCR) y CCR: Cuajiniquil (CCR). *Emisiones bajas, indetectable.

Restauración.

El diseño propuesto para la restauración en un bosque de mangle desplazado por Acrostrichum aureum (Negraforra), considera los cambios en la hidrología, dinámica de los sedimentos y calidad del agua a través de los años; cuyo fundamento se basa principalmente, en reestablecer los intervalos de las condiciones físicas (hidroperíodo y distribución microtopográfica) y químicas (salinidad y potencial redox), fuera de los límites mínimos y máximos de tolerancia de las plantas de A. aureum; pero lo más cercanos, a los intervalos óptimos de las especies de mangle que se registran en áreas adyacentes al sitio por restaurar. El protocolo, se enfocó en crear escenarios con mayor frecuencia y amplitud de inundación, menor tiempo de residencia del agua, y mayor tiempo de desecación e influencia marina; y, por ende, mayor fluctuación en las concentraciones de la salinidad, de lo registrado. Lo anterior, aunado al efecto de fragmentación de hábitat (construcción de parcelas limitadas con la excavación de canales artificiales). Se propuso definir escenario con deficiencia en la disponibilidad de la intensidad lumínica e intercambio atmosférico de oxígeno, además de mayor temperatura a la registrada en el ambiente; esto, propiciado con la instalación de un plástico sobre el sedimento, aislando con ello el sedimento de la atmósfera, durante el período de estiaje.

La propuesta a su vez se basó en las respuestas fisiológicas que exhiben las plantas de A. aureum a los cambios ambientales que se proponen crear; tales como, la disminución de la tasa fotosintética, germinación de los gametofitos e inhibición de la reproducción vegetativa. Así como variación en la presión osmótica en el tejido ante las condiciones que se proponen, principalmente conforme se aumente la salinidad y el tiempo de exposición de este parámetro, a la inundación y se aislé de la luz la superficie del sedimento. Puesto que las plantas de A. aureum son demandantes de luz, para poder sobrevivir y reproducirse.

Es relevante mencionar, que la restauración que se propuso se considera como “restauración activa” (Warner et al. 2012), pues el sitio seleccionado ha sido perturbado seriamente por las diversas actividades humanas y eventos hidrometeorológicos a lo largo de tiempo; y por ello, fue necesario las acciones del hombre mediante técnicas de ecología e ingeniería, para retornar la estructura y función del ecosistema lo más cercano posible a un escenario preexistente. Sin embargo, este tipo de restauración es más compleja, costosa y con menor grado de éxito, por la imposibilidad de eliminar el factor de estrés, comparado con la “restauración pasiva” donde solo se requiere eliminar el factor de estrés (Warner et al. 2012; Agraz Hernández et al. 2007). A su vez es esencial considerar que el desarrollo tecnológico de esta propuesta es manejado a escalas experimentales (piloto); inicialmente, con el fin de definir el factor-respuesta e intervalos, reconocer las condiciones prexistentes y optimizar la técnica en un diseño de mayor control; para incrementar el conocimiento, el éxito y la optimización de los recursos.

Lo anterior, con el objetivo de implementar a mayor escala en futuro cercano programas de restauración. Asimismo, es necesario definir dentro del desarrollo tecnológico la generación del conocimiento, desde una línea base para el entendimiento de las respuestas fisiológicas de los manglares, con diferentes grados de conservación y especies en relación con las condiciones ambientales. Situación que se implementará con el monitoreo del bosque de mangle que se establezca como referencia durante la restauración.

Por otra parte, es importante mencionar que los costos de la restauración a nivel mundial son muy variables, dependiendo de los precios de los materiales, pago de jornal y desplazamiento al sitio de restauración (navegación vía terrestre-distancia), dependiendo del número de hectáreas, el tipo, magnitud e intensidad de impacto, así como el tiempo que ha trascurrido después. El nivel de conocimiento que se disponga del sitio y especies, además del número de años que contemple cada restauración. Con respecto a los costos de restauración, estos difieren a partir de las técnicas que se asignen “ad hoc” a cada sitio,” justo a la medida”, para incrementar el éxito de la restauración.

Al respecto, a nivel internacional se han desarrollado restauraciones con costos desde $34 dólares ha-1 hasta $216,000 dólares ha-1 en países como Malasia, Tailandia, Estados Unidos, Hondura y México (Chan, 1996; Teas, 1977; Lewis, 1982; Reyes y Tovilla, 2002; Agraz Hernández et al. 2010). Ejemplo de ello, son los programas de restauración que se han efectuado en México, donde dependiendo de las técnicas aplicadas, se han cotizado desde $2,700 dólares ha-1 hasta $10,000 dólares ha-1, en el cual se contempló la excavación de canales (rehabilitación hídrica), la reforestación por voleo in situ o mediante la producción de plántula bajo condiciones de vivero, con costos promedio de $13,500 dólares ha-1 (Agraz Hernández et al. 2017).

Lo anterior, sin incluir técnicas hídricas que apoyen al control de las especies invasoras y la remoción de estas, sin eliminar los factores de estrés; donde estos incrementan considerablemente los costos de restauración, sumado con la generación del conocimiento y la prueba piloto para adecuar las técnicas al sitio. Cabe destacar que el costo beneficio de cualquier tipo de restauración para recuperar la cobertura de mangle, se basa en retornar los servicios ecosistémicos que provee estos ecosistemas a mediano y largo plazo. Al respecto, el IPCC (2014) indica que a nivel internacional se reconoce la gran capacidad que tienen los manglares para secuestrar carbono, 4 veces mayor a otros ecosistemas forestales (Alongi, 2012), debido a su alta productividad expresada en biomasa, producto de la fotosíntesis, así como por la baja tasa de degradación de la materia orgánica que presentan estos ecosistemas, con respecto a los terrestres e incluso otros humedales (Pendleton et al. 2012; Ademe et al. 2015); ofreciendo con ello muchos servicios ecosistémicos, como la exportación del material defoliado (materia orgánica), que funciona como alimento para comunidades de peces de gran valor comercial (Giri et al. 2011). Asimismo, derivado de la gran capacidad que los suelos de mangle presentan para almacenar carbono, participan en la mitigación de los efectos del cambio climático (Kauffman et al. 2013).

Ante lo expuesto, se apuesta a la innovación tecnológica, pues no solo generará línea base de los parámetros fisicoquímicos del agua intersticial y del comportamiento hidrológico en un bosque de mangle con presencia de las especies características del humedal de Térraba Sierpe; sino también, el tener la oportunidad de aplicar técnicas que pudiesen ser optimizadas a baja escala, para que en un futuro pudiesen ser aplicadas a gran escala considerando el desplazamiento de las especies invasoras, la recuperación de la cobertura de mangle y los servicios ecosistémicos.

Esto mediante una visión integral, considerando el estrés que actualmente enfrenta todo el humedal de Térraba Sierpe. Pues hay que recordar que la ecología de la restauración es considerada como una ciencia que desarrolla y prueba teorías para guiar a la restauración ecológica. Es relevante mencionar, que el éxito del programa de restauración y la permanencia de la cobertura de mangle que se recupere, estará en función a su vez de las acciones que el Gobierno de Costa Rica lleve a cabo a través del tiempo, principalmente en el manejo de la calidad del agua, regulación de los asentamientos urbanos, deforestación y autorizaciones de apertura de canales de navegación con un previo estudio integral-hídrico.

Fig. 17. Capacitación a las comunidades en el campo y organización de grupos para realizar actividades de excavación de canales y matarrasa, en el área dominada por A. aureum como parte de las estrategias de restauración.

Fig. 18. Diseño de las unidades de restauración, estableciendo canales artificiales, planicies de inundación y disminución del nivel topográfico para la reforestación de Laguncularia racemosa, Avicennia germinans y Rhizophora sp (como especies potenciales). UR#: Unidad de restauración de 2 ha. 1) Guarda raya; 2) Excavación de un canal perimetral; 3, 4) Tumba y matarrasa; 4) Quema; 5) Nivelación topográfica; 6) Reforestación; 7) Monitoreo.

Supervisión del comportamiento de los canales artificiales en julio de 2019.

La supervisión de la zona de restauración se efectuó en el mes julio de 2019 por parte de Msc. Angela Chevez de la Fundación Neotrópica, registrando azolvamiento en segmentos de los canales excavados en marzo y abril de 2019. Razón por la cual, es urgente llevar a cabo el mantenimiento de los canales para obtener la sustentabilidad en el comportamiento hidrológico planeado en el protocolo, así como el mantener y continuar con los cambios positivos en los parámetros fisicoquímicos del agua intersticial y sedimento, que se han obtenido a la fecha en la U1 (Figura 19).

Fig. 19. Condición y parcela de monitoreo de las plántulas de Rhizophora mangle en la Unidad 1 del área de restauración en Térraba Sierpe, Costa Rica. Fotografía referente a la medición de las plántulas fue tomada por la Fundación Neotrópica.


Monitoreo de variables biológicas: se estableció el seguimiento del crecimiento de las plántulas reforestadas mediante la instalación de parcelas de 5 x 5 m, se efectuó de manera mensual en términos de altura total y numero de hojas; para el 2020 se llevará a cabo cada 3 meses (Figura 20). Así como, la regeneración natural establecida por efectos positivos de la rehabilitación hidrológica.

Para el monitoreo de la Negraforra de ser el caso, nuevamente se aplicará la metodología en las U2 y U3 indica en la reunión se efectuó en las Instalaciones de la Función de Neotrópica, en el mes de abril de 2019

Diagnóstico y seguimiento: se deberá continuar con el seguimiento fisicoquímica del agua intersticial hasta completar un año después de haber finalizado con la rehabilitación hidrológica.

Beneficios sociales: durante el desarrollo de la restauración se benefició la comunidad con el pago de jornales, pues se contrató para la excavación de los canales y nivelación topográfica, construcción de guarda raya, eliminación del helechal, quema, producción de plántula en vivero, reforestación y durante el monitoreo ambiental.

Condiciones físicas y químicas del agua instersticial 2020-2022
Monitoreo de las variables dasométricas como indicadores biológicos de la restauración

Se establecieron las parcelas de monitoreo en la unidad 1 para el seguimiento de las plántulas reforestadas y por regeneración natural de R. mangle y P. rhizophoraceae (Figura ), así como indicadores de los indicios de la recuperación del hábitat.

En el caso de los rebrotes de A. aureum se establecieran parcelas de seguimiento y determinaciones en la Unidad 3 por la Neotrópica, para generar información de las tasas de crecimiento. Todas las parcelas serán monitoreadas durante el año 2020 cada 3 meses, generando evidencias fotográficas y enviando al responsable de la restauración del Instituto EPOMEX, posterior serán revisados los datos para su aprobación de ser el caso. Se pedirá a la Fundación de Neotrópica que apoye en usar el formato que se envió antes de que se establecieran las parcelas, cuando se proporcionó las metodologías. Puesto que, en este momento no es posible establecer la tasa de crecimiento de los meses determinados, porque se está trabajando en la base de datos, para depurar, organizar y estandarizar estos; con la finalidad de poder realizar el cálculo de la tasa de crecimiento correcta.

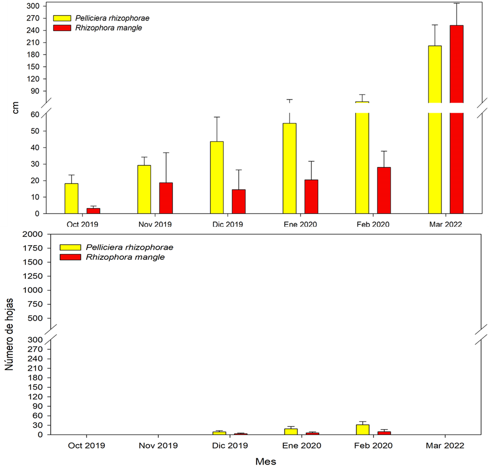
A la fecha se tienen determinado tasas de crecimiento en promedio de 11.3±4.8 cm mes-1 en un periodo de dos meses, en la Unidad 2 (Figura 20).

Las tasas de crecimiento diarias y total en términos de altura que se registraron de octubre del 2019 a marzo de 2022 para P. rhizophorae fue de 0.22±0.06 cm.930 día-1 y altura total promedio P. rhizophorae de 201.9±51.7 cm. En el caso de R. mangle de 0.22±0.11 cm.930 día-1 y altura total promedio de 201.2±106.0 cm. La mayor producción de tejido fotosintético de P. rhizophorae (Figura 20).

Fig. 20. Crecimiento en términos de altura y producción fotosintético de Pelliciera rhizophorae y Rhizophora mangle reforestadas en una zona de mangle degradado con acciones de rehabilitación hidrológica ubicado en Térraba Sierpe, Costa Rica.


Galería

  • Todo
  • Excavación de canales
  • Reforestación con dos especies
  • Monitoreo de las variables dasométricas
  • Indicadores biológicos