Restauración, conservación y manejo sostenible de los manglares de Costa Rica y Benín frente al cambio climático (Provincia de Puntarenas, Costa Rica.)

En el mes de diciembre del 2018 se realizó un análisis prospectivo en dos áreas de mangle degradados, en ambas áreas se determinó las condiciones ambientales y se registró factores de estrés para evaluar el grado de potencialidad para realizar la restauración.

1) Área de mangle degradado y muerto por azolvamiento y sofocación del sistema radicular ante el continuo aporte de sedimento, esto derivado del cambio hidrológico y dinámica del sedimento en la cuenca media por el uso del agua, así como la contaminación y fragmentación generada por cultivos y actividades de deforestación (Figura 1). Ante lo citado, este sitio no se recomienda realizar programas de restauración hasta que se establezcan medidas correctivas y de mitigación de los impactos antes mencionados.

Fig. 1. Área de mangle muerto y azolvado por el aporte de sedimento derivado de cambios hidrológicos en la cuenca.

2) Humedal de Pitahaya, Costa Rica Área de mangle impactado por los asentamientos urbanos, cambios hidrológicos (fragmentación), deforestación y cambio de uso de suelo por la actividad de cañera. Afectados principalmente por la fragmentación del hábitat, deforestación, cambios hidrológicos y en la dinámica del sedimento; conocido como área de “Herrera”. La prospección fue realizada en compañía de un oficial de SINAC y el equipo de la Fundación Neotrópica. Se exhibió azolve de un canal que conectaba con dos esteros, y estos sucesivamente a otros manglares y al mar. Las condiciones ambientales registradas establecen potencial para que los manglares de este sitio puedan ser restaurados.

Pues las condiciones de óxido reducción del agua intersticial exhibieron de tipo óxico (-87 ± 70), ácidas y salinidades oligohalinas. Sin embargo, este bosque presenta efectos directos por la producción de la caña de azúcar, tala, y baja calidad del agua. Siendo urgente aplicar acciones de rehabilitación hidrológica en el bosque, por presentar fisonomía borde tendientes a ribereño; y registrar tres especies de mangle (Pelliciera rhizophorae, Rhizophora racemosa y Avicennia germinans) que proveen diversos hábitats, entre otros servicios ecológicos (Figura 2).

Para ello, se instaló el material y equipo para llevar a cabo del diagnóstico ambiental y con ello generar los factores determinantes y de control para diseñar las estrategias de restauración; considerando la remoción de la caña de azúcar y nivelación topográfica adyacente al bosque a recuperar, con la finalidad de disminuir el grado de estrés y a largo plazo generar las condiciones hidrológicas en el área del cañal. Asimismo, se instaló el material y equipo en un perfil de vegetación con dos bosques de mangle mixtos, refrenté al bosque de mangle degradado, como área de referencia.

Fig. 2. Bosque de mangle degradado por cambios hidrológicos, deforestación, asentamientos urbanos y producción de la caña adyacente al sitio denominado Herrera, en la Provincia de Puntarenas, Costa Rica.

Condiciones ambientales en el bosque de referencia

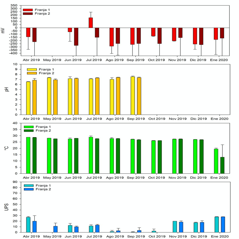
Zona de referencia: las condiciones ambientales en general durante el periodo de abril a diciembre de 2019 establecieron pH neutros (7.2 ± 0.3), bajo condiciones óxicas (-186.9 ± 181.0 mV), temperatura de 27.5 ± 0.8 °C. y salinidades de tipo oligohalina (11 ± 9.3 UPS) en el bosque de la orilla (Figura 3, 4).

Fig. 3. Parámetros fisicoquímicos en el agua intersticial en los bosques ubicados en la orilla del agua e interno (referencia) ubicados en Puntarenas, Provincia de Puntarenas, Costa Rica.

Fig. 4. Determinación de los parámetros fisicoquímicos del agua intersticial en los bosques ubicados en la orilla del agua e interno (referencia) ubicados en Puntarenas, Provincia de Puntarenas, Costa Rica.

Zona de restauración: No hubo agua en los piezómetros en la caña. En el mes de agosto se instalarán cuatro piezómetros en el bosque de mangle degradado para el monitoreo de los parámetros fisicoquímicos. Los datos desde octubre hasta diciembre de 2019 no fueron registrados, porque el equipo esta descompuesto. Se establecieron salinidades de tipo oligohalinas, con 3.5±4.2, potenciales redox en condiciones óxicas, de -80.5±82.7 mV y temperatura se exhibió en este período 26.95±0.6 oC (Figura 5).

Fig. 5. Instalación de piezómetros con apoyo de la comunidad de Puntarenas, para la determinación de los parámetros fisicoquímicos del agua intersticial en los bosques de referencia ubicados en la Provincia de Puntarenas, Costa Rica.

Fig. 6. Concentración de nutrientes en el agua intersticial de diciembre del 2018 a agosto del 2019 en los bosques con dominancia de Rhizophora racemosa (Franja 1) y Avicennia germinans (Franja 2), ubicados en la provincia de Puntarenas, Costa Rica.

Fig. 7. Concentración de los sulfatos en el agua intersticial de diciembre del 2018 a agosto del 2019 en los bosques con dominancia de Pelliciera rhizophorae (Franja 1) y Rhizophora racemosa(Franja 2), ubicados en la provincia de Puntarenas, Costa Rica.

Parámetros fisicoquímicos del sedimento.

Se colectaron 6 núcleos en el área de restauración y 6 más en los bosques de referencia, tres por franja. Por cada núcleo fue determinado los parámetros de 0-15, 15-30 y 30-45, con apoyo de la comunidad adyacente a la zona de restauración (Figura 9). Una vez determinado los parámetros, estos fueron etiquetados y trasladados a la Fundación Neotrópica, posteriormente fueron secados y preparados para transportarse a México y efectuar los análisis del carbono por los tres niveles de profundidad (Figura 9). Las condiciones de pH ácidas (6.3±0.01) y se homogéneas de 0 a 45 cm de profundidad en los bosques de la franja 1 y 2, asimismo la temperatura fue constante, con 28±1.4 °C (Figura 9).

Pero no así, en las condiciones de óxido reducción, donde se establece mayores condiciones óxicas en el bosque que bordea la orilla del agua, de -19.2±39.3 mV, respecto al bosque interno, con -27.9±1.7°C, 141.2±81.5 mV donde aumentó el grado de hipoxia (Figura 9). Esto debido al incremento topográfico, menor influencia de entrada del agua hacia el bosque interno. Por otra parte, se establece en el bosque interno (Franja 2), a mayor profundidad la demanda de oxígeno es mayor, debido a la acumulación de materia orgánica, menor disponibilidad de oxígeno atmosférico, del agua de mar y agua dulce por elementos oxidados.

Fig. 8. Extracción de núcleos de sedimento por la comunidad en la zona del cañal y bosques de referencia, apoyados por funcionario de SINAC y asesorado por Ing. Jordán Reyes del Instituto EPOMEX.

Fig. 9. Parámetros fisicoquímicos en núcleos del sedimento por perfiles en los bosques ubicado en la orilla del agua (Franja 1) e interno (Franja 2) ubicados en la Provincia de Puntarenas, Costa Rica.

Clima.

Para elaborar el climograma, y poder identificar el tipo de clima y estaciones del año, se colectaron datos de la precipitación mensual de enero de 2019 a abril de 2022 de la estación meteorológica 787600 (MRLB (https://freemeteo.co.cr/eltiempo/puntarenas/historia/historial-mensual/?gid=3622228&station=22037) Puntarenas de la estación meteorológica más cercana al área de restauración (Figura 10).

Fig. 10. Precipitación total 2019, 2020, 2021 y 2022 en Puntarenas, Costa Rica. Datos reportados por la estación meteorológica: 787600 (MRPM). Latitud: 9.96| Longitud: -84.83  | Altitud: 3.

Estructura forestal y tipos fisonómicos de los bosques de referencia

El sitio de referencia se estableció dos bosques a lo largo de un perfil de vegetación: a) Bosque de bordea el agua, este presentó fisonomía de tipo ribereña con tendencia borde, con un área basal de 31.8 ± 12.1 m2. ha-1, densidad de 3300 ± 1650 Indv.ha-1 y altura de 5.8±4.3 m; dominancia de Pelliciera rhizophorae y presencia de Rhizophora racemosa, Avicennia germinans y Laguncularia (Figura 11); b) Bosque interno, exhibe una fisonomía de tipo ribereño, con un área basal de 29.4 ± 14.4 m2. ha-1, densidad de 2066 ± 1791 Indv.ha-1 y altura de 9.5±3.6 m; con dominancia de Pelliciera rhizophorae y presencia de Rhizophora racemosa (Figura 11, 12).

Estos atributos que se atribuyen a las condiciones ambientales que prevalecen en el sitio. La estructura registrada, es respuesta del constante aporte de agua dulce proveniente del río. Por otra parte, diversos autores mencionan que los bosques de mangle que bordean canales deltaicos, desembocaduras y cauces de los ríos, cuyos sustratos están constituidos por sedimentos aluviales, con alto concentración de materia orgánica, desarrollan los mayores atributos forestales, en términos de área basal y altura (Hernández Trejo et al., 2006; Cintrón y Schaeffer-Novelli, 1983; Agraz-Hernández et al., 2007).

Fig. 11. Atributos forestales de los bosques ubicado en la orilla del agua (a) e interno (b) ubicados en la Provincia de Puntarenas, Costa Rica.

Fig. 12. Determinación de la estructura forestal aplicando el método de parcelas en los bosques ubicado en la orilla del agua (a) e interno (b) ubicados en la Provincia de Puntarenas, Costa Rica. Funcionarios de SINAC apoyando en la colecta de datos.

Productividad primaria (hojarasca)

Para el monitoreo de la producción de hojarasca y reproducción fenológica se instalaron en abril de 2019, cinco canastas de defoliación por cada bosque de referencia, colectándose el material defoliado por la Fundación Neotrópica en mayo a diciembre de 2019 (Figura 13 y 14); con una producción en promedio fue de 952.2 ± 72, con 78.6% correspondiente a las hojas. Siendo con ello, bosques muy importantes por conservar, debido a su alta productividad y atributos forestales; que con ello aportan gran diversidad de servicios ecosistémicos. Ejemplo de ello, es Turner (1971) al establecer una relación directa entre la producción de hojarasca y la captura de especies de importancia comercial (ej. camarón y peces). Por otra parte, el estudio fenológico de este bosque establecerá el comportamiento en la producción de propágulos, siendo a la fecha de junio a septiembre los de mayor producción (Figura 13 y 14).

Fig. 13. Producción de hojarasca y comportamiento fenológico de un bosque aledaño al área de restauración en Pitahaya, Costa Rica.

Fig. 14. Instalación de la canasta de defoliación en los bosques de la orilla del agua (Fotografías lado derecho superior e inferior) e interno (Fotografía lado izquierdo) ubicados en la Provincia de Puntarenas, Costa Rica. Participante en la actividad: SINAC, seguridad pública, Fundación Neotrópica e Instituto EPOMEX.

Biomasa y carbono en los bosques de referencia (resultados preliminares)

Para la determinación de la biomasa aérea y subterránea; y el carbono de estas variables, en abril del 2019 se extrajeron núcleos de madera de Rhizophora racemosa, Pelliciera rhizophorae, Laguncularia racemosa y Avicennia germinans, en el perfil de vegetación, en la franja 1 y 2; como bosques de referencia. Esto a partir del registro de los diámetros de los árboles, en cada parcela establecida para determinar estructura forestal, determinando la frecuencia diametral. Por cada frecuencia se extrajeron los núcleos de madera para calcular la densidad aparente por bosque, 54 en total, 30 en la franja 1 y 24 en la franja 2 (41 Pelliciera rhizophorae, 3 Avicennia germinans, 5 Laguncularia racemosa, 5 Rhizophora racemosa) (Figura 15 y 16).

Fig. 15. Para la determinación de la densidad aparente en el bosque de referencia (Franja 1) ubicado en la Provincia de Puntarenas, Costa Rica.

Fig. 16. Para la determinación de la densidad aparente en el bosque de referencia (Franja 2) ubicado en la Provincia de Puntarenas, Costa Rica.

Se colectaron muestras de plántulas, madera caída y neumatóforos en cada parcela, a partir de dos subparcelas de 5 x 5 m. En cada componente se determinará la concentración de carbono, a partir de la biomasa, iniciando el análisis en el mes de octubre del 2019. Con el diámetro y altura de los árboles, así como la densidad aparente de la madera se estimó la biomasa aérea, empleando modelo alométricos preexistentes, para posteriormente calcular con la biomasa, la concentración de carbono.

En el caso de la biomasa subterránea se determinará aplicando los criterios de Komiyama et al. (2005), posteriormente se multiplicará el valor de la biomasa por 0.39, propuesto por Kauffman et al. (2015) para calcular el carbono.

El cálculo del carbono secuestrado en el sotobosque se efectuará a partir de la multiplicación de la biomasa total, multiplicada por el porcentaje de carbono orgánico leído en el Analizador Elemental.

Los núcleos de sedimento fueron seccionados en intervalos de 0-15, 15-30 y 30-50 cm profundidad, de acuerdo con Kauffman et al. (2013). Todas las muestras se secaron, maceraron, disgregaron y prepararon para eliminar las plagas y contaminantes. En el mes de abril del presente año, se trasladarán las muestras a México para el análisis del carbono.

Restauración.

El protocolo de restauración será elaborado una vez que se tenga datos del monitoreo sobre los parámetros fisicoquímicos del agua intersticial y de las características del suelo del área de caña. Así mismo, es fundamental determinar el nivel microtopográfico del área del cañal, el bosque por restaurar y en los bosques de referencia. Para ello, se estableció el protocolo a seguir para esta determinación, como se describe en la Figura 17.

Es relevante enfatizar que la estrategia de restauración estará enfocada en restablecer el flujo hidrológico de los canales de navegación azolvados aledaños al bosque de manglar por restaurar y manglares frente a este bosque. Asimismo, se considera como parte del proceso de restauración integral, el trabajar parcelas de restauración “pilotos” en el cañal, para generar información esencial para la valoración en la rehabilitación de las características del suelo y con ello valorar el potencial que las áreas del cañal presentan para restaurar los bosques de mangle desplazados por la producción de la caña.

Fig. 17. Trayectoria para la determinación de la distribución microtopográfica en el área a restaurar: caña (1), bosque por recuperar (2) y bosque de referencia (3) ubicado en Pitahaya, Provincia de Puntarenas, Costa Rica.