"Restauración ecológica en el ecosistema de manglar en la zona aledaña al centro de comunicación y cultura de la conservación (CCCC) isla Jaina, mediante el empleo de modelos de circulación hidrodinámica en el municipio de Hecelchakán, Campeche en 517 ha ETAPA II"

El proyecto “Restauración Ecológica en el Ecosistema de manglar en la zona aledaña al Centro de Comunicación y Cultura de la Conservación (CCCC) Isla Jaina, mediante el empleo de modelos de circulación hidrodinámica en el Municipio de Hecelchakán, Campeche, Etapa II en 517 ha”, tiene como finalidad establecer medidas de restauración ecológica del ecosistema de manglar degradado por la interacción del ser humano en la construcción de un camino rústico y eventos naturales. La restauración se efectúa mediante el manejo hidrológico, a través de la aplicación de modelos hidrodinámicos y el análisis químico del agua intersticial (calidad de agua) que garantiza la dinámica hidrológica y la recuperación de la cobertura vegetal (mediante la forestación de plántulas de R. mangle y A. germinans). Esto mediante la cantidad mínima de muestreos, para calibrar los modelos numéricos capaces de describir la dinámica del agua y los sedimentos del agua intersticial, para posteriormente evaluar la respuesta de esta (corrientes, hidrología, calidad del agua y sedimentos), ante diferentes escenarios de manejo hidrológico, así como la concentración de la salinidad, nutrientes y el valor del potencial redox.

Beneficios para todos

Sociales: Más del 50 % del presupuesto del proyecto se destina al salario de los 80 jornaleros de los poblados de Sodzil, Chunkanán, Pomuch y Hecelchakán, y se capacitan como especialistas en restauración. El proyecto genera empleos y estabilidad económica familiar.

Ecológico: Se valoran las 600 ha rehabilitadas en más de 30 millones de pesos al año por servicios del ecosistema a la sociedad (Costanza et al., 1997), monto superior al destinado a su rehabilitación en 4 años. Se transfieren las técnicas innovadoras a otros sitios impactados de mangle a nivel nacional e internacional (Costa Rica, Fonds Francais pour LÉnvironment Mondial).

Académicos: Los estudiantes de licenciatura y posgrado reciben cursos teóricos y prácticos sobre ecología, diagnóstico e impacto ambiental y restauración en ecosistemas de mangle, y se fortalecen las capacidades analíticas en laboratorios de primer nivel.

Metas de trabajo
  1. Caracterizar el área de manglar muerto para conocer el grado de deterioro del ecosistema.
  2. A partir de herramientas de modelación matemática diseñar las medidas a ejecutar en la rehabilitación hidrológica.
  3. Monitorear las condiciones químicas del agua intersticial en el área de manglar muerto antes y después de la aplicación de las medidas de rehabilitación hidrológica, y evaluar su respuesta.
  4. Construir 1 canal principal de 5 m de ancho por 1.2 m de profundidad, por 4400 m de largo (excavación aproximada de 26400 m3), 13 canales secundarios y 16 canales terciarios artificiales.
  5. Desazolvar parcialmente un canal natural de aproximadamente 4280 m de largo.
  6. Reforestar 395 ha, con propágulos de Avicennia germinans (L.) L., por el método de voleo en el área de restauración y la forestación a lo largo de los bordes de los canales artificiales, con hipocótilos de Rhizophora mangle.
  7. Recuperar evidencias arqueológicas e históricas que se encuentren durante la rehabilitación hidrológica.
  8. Fomentar la divulgación y asimilación de los resultados del proyecto a nivel local, municipal y estatal.

INSTALACIÓN DE ZONAS DE REFERENCIA Y ÁREA A RESTAURAR

Instalación del material y equipo: una vez seleccionados los bosques de referencias, durante el mes de enero del 2017 se instalaron 3 colectores de agua intersticial en la zona de referencia, a una profundidad de 60 cm. Así como, 50 colectores distribuidos en las 517 ha de manglar a restaurar (Fig. 1 y 2). Esto con el fin de caracterizar y llevar a cabo el monitoreo de la salinidad, temperatura, potencial redox y nutrientes del agua intersticial; antes, durante y posterior a la restauración. Durante la instalación cada colector fue etiquetado, georreferenciado y tapado para evitar obstrucción (Fig. 2).

Fig. 1. Colectores de datos y muestras para la determinación de los valores y concentraciones de los parámetros fisicoquímicos del agua intersticial en el área de restauración al sureste de la Reserva de la Biosfera los Petenes, Campeche.

Fig. 2. Instalación del material y equipo para la determinación de parámetros fisicoquímicos del agua intersticial en 517 ha de mangle muerto a restaurar.

Estructura forestal de los bosques de referencia: para la caracterización de la estructura forestal de los bosques de mangle se aplicó el método de cuadrantes, con base a los criterios de Moreno-Casasola y López-Rosas (2009), con un total de 2 cuadrantes por tipo fisonómico (0.01 ha; dos al inicio, dos hacia el interior del bosque). En cada parcela se contabilizó el número de total de árboles, el diámetro a la altura del pecho (DAP) en árboles de Avicennia germinans y Laguncularia racemosa, y a 30 cm por arriba de la última raíz para árboles de Rhizophora mangle. Posteriormente, se calcularon los atributos forestales (densidad, área basal y altura) y con base en estos se estableció el tipo fisonómico del bosque de manglar, a partir de lo descrito por Lugo y Snedeker (1974) y Flores-Verdugo et al. (1992).

Producción de hojarasca y comportamiento de la fenología de los bosques de referencia: se colocaron cinco canastas de defoliación en la zona de referencia, al presentar únicamente un tipo de bosque (Fig. 3), con base a los criterios de Agraz Hernández et al. (2011)

Fig. 3. Canasta de defoliación instaladas en los sitios de referencia para la determinación de la productividad de los bosques de mangle y la reproducción fenológica.

Condiciones fisicoquímicas del agua intersticial: una vez instalado los colectores del agua intersticial durante los meses de enero-febrero del 2017, se inició con el monitoreo cada cuatro meses de los parámetros fisicoquímicos la zona de referencia; y en los 50 colectores que se distribuyen en el polígono de restauración (517 ha de mangle muerto) y 3 instalados en las referencias. Para la colecta de datos in situ, se drenó cada colector para eliminar el agua estancada, dando un tiempo de estabilización de 10 minutos. Posteriormente, se midió el valor del potencial redox, temperatura y pH del agua intersticial, mediante un equipo multiparamétrico marca Hach modelo HQ11d; y en el caso de la salinidad, esta fue determinada a través de un refractómetro modelo ATAGO 0-100%0. Finalmente, se colectaron dos muestras de agua en frascos de 50 ml (pre-lavado con HCl- al 5%) mediante una bomba de gravedad para el análisis de los nutrientes .

Características edafológicas y químicas del suelo: : se colectaron un total de 50 núcleos. En cada núcleo se midió in situ el color, pH y potencial redox, esto mediante un equipo multiparamétrico marca IQ150 (Fig. 4). Posteriormente, fueron trasladados al laboratorio de humedales costeros con énfasis en manglares, para evaluar el porcentaje de materia orgánica, fósforo total, textura y densidad aparente.

Fig. 4. Colecta de núcleo de suelo en el bosque de referencia área de restauración de la Reserva de la Biosfera Los Petenes, Campeche.

Caracterización de la zona de referencia y área de restauración antes de las acciones de la rehabilitación hidrológica

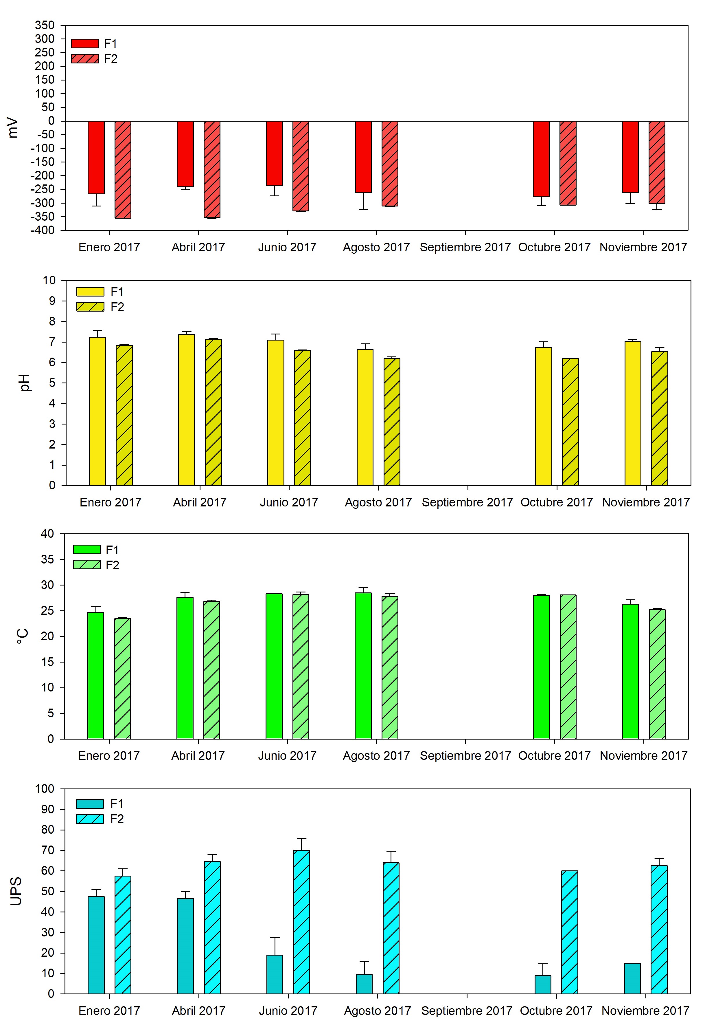
Las condiciones fisicoquímicas del agua intersticial en el sitio de referencia antes de los trabajos de rehabilitación hidrológica (Tiempo 0); definieron tendencias ehualinas-hiperhalinas (56.7 ±12.5 UPS); con un valor máximo de 80 UPS. El grado de oxigenación responde a escenarios hipóxicos (-312.5±46.6 mV), en dónde el valor mínimo fue de -355.5 mV y el máximo a -233.9 mV. En general los registros de pH oscilaron en 7.0±0.24. Condiciones de mayor oxigenación del agua intersticial, con respecto a la zona de restauración, derivado de por el flujo y reflujo de las mareas.

Los parámetros fisicoquímicos de las 517 ha de mangle muerto antes de los trabajos de rehabilitación hidrológica (Tiempo 0), definieron valores de salinidad de estrés de Rhizophora mangle y pérdida de energía de Avicennia germinans; al establecer tendencias ehualinas-hiperhalinas (59.1 ±14.9 UPS) (Fig. 5); con un valor máximo de 96 UPS. El grado de oxigenación responde a escenarios hipóxicos con tendencia a anóxicos (-335.9±62.5 mV), en dónde el valor mínimo fue de -416.3 mV y el máximo a -185.3 mV (Fig. 5).

En general los registros de pH oscilaron en 7.0±0.37 (Fig. 5); lo anterior bajo condiciones mesotróficas. Esto al verse afectada la circulación del agua intersticial por impacto antrópico; tales como, fragmentación del ecosistema por construcción de caminos, que modifica la topografía, generando salinidades altas por la evaporación del agua. Aunado a esto, los intervalos de oxigenación reportados se deben en gran medida al retardo en la frecuencia y amplitud de inundación en las 517 ha a restaurar.

Fig. 5. Comportamiento de los parámetros fisicoquímicos del agua intersticial en 517 ha de mangle muerto en la Reserva de la Biosfera Los Petenes, Campeche, durante el tiempo 0 (enero, 2017): (a) Salinidad; (b) Temperatura; (c) pH; (d) Potencial redox.

Comportamiento de los parámetros fisicoquímicos de las zonas de referencia durante las acciones de rehabilitación hidrológica Fase I (Abril a Noviembre del 2017)

Se estableció en el mes de abril del 2017 el monitoreo mensual de los parámetros fisicoquímicos del bosque de referencia en estudio; cabe destacar que, durante los meses de mayo y octubre derivado de la dificultad de acceder a los manglares de referencia, no fue posible la toma de datos in situ.

La tendencia general a través de los meses estableció condiciones mesohalina (50.9±6.2 UPS), con máximos en julio (56.7±7.6 UPS) (Fig. 6). El grado de oxigenación fue desde óxico-hipóxico a hipóxico (-265.9±64.3 mV). Así como pH ácidos a neutros (6.6±0.4); este comportamiento es atribuido a la intrusión de la cuña salina (Fig. 6), mayor concentración de la salinidad y sulfatos (7, 302.8±1,12.2 mg. L-1 SO4-), por el déficit de lluvia registrado en el 2017 por la CONAGUA, con un SPI de -2.16.

Fig. 6. Parámetros fisicoquímicos del agua intersticial registrados durante las acciones de rehabilitación hidrológica en el año 2017, en el sitio de referencia ubicado en la Reserva de la Biosfera los Petenes, Campeche. *Octubre 2017 sin dato por limitaciones

Comportamiento de los parámetros fisicoquímicos del área de restauración durante las acciones de rehabilitación hidrológica_Fase I (Abril-Noviembre del 2017).

La primera fase de rehabilitación hidrológica se llevó a cabo de marzo a julio del 2017, durante la construcción de canales se efectuaron dos muestreos (lluvias y nortes) en las 517 ha de interés; generándose diferentes escenarios en las condiciones ambientales del agua intersticial. El primero en la época de lluvias en el mes de julio (Tiempo 1. Fig. 7 y 8), en donde se presentó condiciones euhalinas con tendencia a hiperhalino antes descrito en la fase de caracterización (Tiempo 0); con mayor concentración y variación de la salinidad, respecto al tiempo cero (70±15 UPS), con máximo de 106 UPS y mínimo de 35 UPS. Comportamiento sustentado con la concentración de los sulfatos y variación de este en el área de restauración (5,921.7±1936 mg.L-1).

Estas diferencias se deben a la dilución de sal acumulada en el sedimento, y por las ineficientes conexiones con la marea y el agua dulce. Así mismo, derivado de la remoción del sedimento, y suspensión de la materia orgánica durante la excavación de los canales, propiciando heterogeneidad y mayor demanda del oxígeno, comparado con el tiempo cero (Instalación). Definiéndose escenarios desde óxico-hipóxicos a anóxicos, con valores máximos y mínimos de -412 a -91.6 mV, respectivamente (Fig. 7 y 8); con altas concentraciones de fosfatos (3.20±2.3 mg.L-1 PO4-3) y condiciones neutras.

Es relevante mencionar que derivado de las acciones de rehabilitación hidrológica se estableció gran variación en los parámetros químicos del agua intersticial, sin incrementar de manera homogénea la salinidad y anoxia, ante la disminución de la lluvia establecida en el 2017. Autores como Chan Keb et al. (2018) mencionan que el déficit hídrico en el Estado de Campeche ha ocasionado cambios en las condiciones fisicoquímicas del agua intersticial en los manglares en un periodo de 5 años.

Fig. 7. Comportamiento de los parámetros fisicoquímicos del agua intersticial en 517 ha de mangle muerto en la Reserva de la Biosfera Los Petenes, Campeche, durante el tiempo 1 (julio, 2017). (a) Salinidad; (b) Temperatura; (c) pH; (d) Potencial redox.

Durante la época de nortes (Noviembre. Tiempo 2), se registró el efecto positivo en la conexión del humedal con el mar y las escorrentías del agua dulce mediante los canales artificiales excavados en el año 2017. Esto al registrar la disminución en la concentración de la salinidad de 10 UPS entre el tiempo cero y dos (Fig. 7 y 8); exhibiendo tendencias mesohalinas-ehualinas (48.6±18.5 UPS) y nutrientes disponibles en el agua intersticial, que estaban en el sedimento (Nortes, 2017 y Estiaje, 2018. Fig. 8a y c).

Fig. 8. Comportamiento de los parámetros fisicoquímicos del agua intersticial en 517 ha de mangle muerto en la Reserva de la Biosfera Los Petenes, Campeche, durante el tiempo 2 (noviembre, 2017). (a) Salinidad; (b) Temperatura; (c) pH; (d) Potencial redox.

Comportamiento de los parámetros fisicoquímicos de las zonas de referencia durante las acciones de rehabilitación hidrológica_Fase II (Año 2018 a mayo de 2022).

Se continuo con el monitoreo de los parámetros fisicoquímicos desde enero del 2018 hasta octubre del 2021; definiendo en general para la zona norte condiciones de menor salinidad (36.5±12.9 UPS), mayor grado de oxigenación (-215.8±85.2 mV) en el agua intersticial y condiciones ligeramente ácidas, comparado con el año 2017 (Fig. 9), al presentarse mayor cantidad de lluvias en el 2018 (Fig. 9) es importante mencionar que debido a la pandemia no se pudo realizar el monitoreo de abril 2020 a febrero del 2021

Fig. 9. Parámetros fisicoquímicos del agua intersticial del bosque de referencia zona norte en el año 2018 al 2022, ubicado en la Reserva de la Biosfera los Petenes, Campeche. *Octubre 2018 sin dato por el acceso imposible al sitio.

Para el caso de la zona sur en general las condiciones de salinidad del 2018 hasta octubre del 2021; fueron de (45.1±13.1 UPS), mayor grado de oxigenación (-266.0±49.5 mV) en el agua intersticial y condiciones ligeramente ácidas, comparado con el año 2017 (Fig. 10), al presentarse mayor cantidad de lluvias en el 2018.

Fig. 10. Parámetros fisicoquímicos del agua intersticial del bosque de referencia zona sur en el año 2018 al 2022, ubicado en la Reserva de la Biosfera los Petenes, Campeche.

Comportamiento de los parámetros fisicoquímicos del área de restauración (517 ha) después de las acciones de rehabilitación hidrológica_Fase II y III (Años 2018 a mayo de 2022)

La segunda y tercera fase de rehabilitación hidrológica se efectúo de marzo a junio del 2018 y de marzo a abril de 2019. Cabe destacar que estas fases se realizaron en condiciones adversas para los trabajadores, con temperaturas ambientales en promedio de 38 °C y sensación térmica de 40 °C, situación por la cual se modificó las formas de los canales. Esto con la finalidad de incrementar el lavado del sedimento, menor azolvamiento y salinidad en el agua intersticial, a la falta incluso de lluvia y escurrimiento del agua dulce en el sitio. Registrándose temperaturas en el agua intersticial de 30±1.0 °C. (Fig. 11). A pesar de lo antes citado las condiciones de salinidad se mantuvieron en el agua intersticial de tipo mesohalino, con 47.2±17.6 UPS y de tipo óxico-hipóxico (-259.4±51.3 mV) durante el 2018; sin embargo, para el año 2019 y 2021 las condiciones de salinidad se clasificaron como tipo euhalino con (68.1±18.2 y 48.8±9.0 UPS) y de tipo óxico-hipóxico (-264.4±45.2 mV) para 2019; y de tipo hipóxicas (-329.4±32.9 mV) para el 2021(Fig 11). Como consecuencia de la comunicación del humedal, con el mar de manera continua y dependiente del comportamiento de la marea, esto validado con el comportamiento de la concentración de los sulfatos del agua intersticial y la condición alcalina (Fig. 14 y 15). Sin establecer diferencias significativas entre el periodo de estiaje del 2017 y 2018. Condición que se ve reflejada en la sobrevivencia del 92% de las plántulas reforestadas por voleo de Avicennia germinans y 87% de Rhizophora mangle reforestadas in situ en los bordes de los canales excavados.

Fig. 11. Parámetros fisicoquímicos del agua intersticial del área de restauración (517 ha) después de las acciones de rehabilitación hidrológica en el año 2018 al 2022, ubicado en la Reserva de la Biosfera los Petenes, Campeche.

Fig. 12. Comportamiento de los valores de la temperatura en el agua intersticial después de aplicar acciones de rehabilitación hidrológica en un área de restauración de 517 ha, al sureste de la Reserva de la Biosfera los Petenes, Campeche.

Posterior a las acciones de la rehabilitación hidrológica las características fisicoquímicas del agua intersticial indican en general disponibilidad de nutrientes y oxígeno, así como mayor entrada de agua de mar y en menor influencia el agua dulce, pero con entrada de fosfatos por procesos de lixiviación y arrastres de nutrientes por la fauna asociada al humedal y poblaciones ubicada hacia tierra(Fig. 16). Esto validado al aplicar un análisis de componentes principales; donde los principales factores que caracterizan la condición química del agua intersticial son la salinidad y sulfatos, por la mayor entrada de mar(Fig. 15, 16 y 18), elementos mayoritarios del agua de mar. Por ende, conversión de los compuestos nitrogenados reducidos a oxidados (nitritos Fig. 16c.) y con la mayor entrada de agua dulce mediante el proceso de lixiviación al acarrear fosfatos, así como por aporte de desechos por la fauna, integrándose estos a la zona de restauración (componente 3: Fig. 14b). Consecuencia de la entrada de agua de mar se registró durante el periodo de análisis, mayor alcalinidad (pH) en conjunto de suelos calizos que caracterizan el tipo de suelo en el área de restauración (Fig. 13). Además de establecerse después de la restauración condiciones óxicas (potencial redox). Explicándose este comportamiento con los resultados de la prueba estadística, con un 73.32%.

Fig. 13. Comportamiento de los nutrientes en el agua intersticial después de aplicar las acciones de rehabilitación hidrológica en un área de restauración de 517 ha, al sureste de la Reserva de la Biosfera los Petenes, Campeche

Fig. 14. Comportamiento de los sulfatos en el agua intersticial después de aplicar las acciones de rehabilitación hidrológica en un área de restauración de 517 ha, al sureste de la Reserva de la Biosfera los Petenes, Campeche

Fig. 15. Comportamiento de los valores de salinidad en el agua intersticial después de aplicar acciones de rehabilitación hidrológica en un área de restauración de 517 ha, al sureste de la Reserva de la Biosfera los Petenes, Campeche.

Fig. 16. Comportamiento de los valores de nitritos en el agua intersticial después de aplicar acciones de rehabilitación hidrológica en un área de restauración de 517 ha, al sureste de la Reserva de la Biosfera los Petenes, Campeche.

Fig. 17. Comportamiento de los valores del potencial redox en el agua intersticial después de aplicar acciones de rehabilitación hidrológica en un área de restauración de 517 ha, al sureste de la Reserva de la Biosfera los Petenes, Campeche.

Fig. 18. Comportamiento de los valores de fosfatos en el agua intersticial después de aplicar acciones de rehabilitación hidrológica en un área de restauración de 517 ha, al sureste de la Reserva de la Biosfera los Petenes, Campeche.

Fig. 19. Comportamiento de los valores de sulfatos en el agua intersticial después de aplicar acciones de rehabilitación hidrológica en un área de restauración de 517 ha, al sureste de la Reserva de la Biosfera los Petenes, Campeche.

Fig. 20. Comportamiento de los valores de nitratos en el agua intersticial después de aplicar acciones de rehabilitación hidrológica en un área de restauración de 517 ha, al sureste de la Reserva de la Biosfera los Petenes, Campeche.

Fig. 21. Comportamiento de los valores de pH en el agua intersticial después de aplicar acciones de rehabilitación hidrológica en un área de restauración de 517 ha, al sureste de la Reserva de la Biosfera los Petenes, Campeche.

Distribución micro topográfica.

La distribución microtopográfica en las 517 ha establecen mínimos de -70 cm y máximos de 0 cm sobre el Nivel Medio del Mar (NMRM) (Fig. 22), con tres escenarios: 1) con 75% del área total, de -30 cm a 0 cm; 2) con 15% del área total, de -10 cm a 20 cm y 3) con 5% del área total, de-130 cm a 70 cm. Referido al NMRM. Estableciendo con ello subsidencia en el área de restauración, al comparar la distribución microtopográfica en el bosque de referencia (-35 a 37 cm referido al NMRM), justificándose con ello, la nivelación de suelo. Esto mediante el material extraído al excavar los canales artificiales, estableciendo con ello plataformas de reforestación. Donde se reforestaron por voleo A. germinans y siembra directa en el borde de los canales artificiales R. mangle. Acción que se expresa positiva para el 2019, con la sobrevivencia y el crecimiento de las plántulas de manglar.

Fig. 22. Distribución microtopográfica del área de restauración ubicada en la Reserva de la Biosfera Los Petenes, Campeche.

Comportamiento hidrológico antes y después de la restauración.

Se determino el comportamiento del agua intersticial antes y posterior (Fig. 23) a la excavación de los canales artificiales, exhibiendo antes de las acciones de rehabilitación hidrológica con tiempos de residencia muy altos, sin capacidad de detección de los Dataloggers. Caso contrario posterior a las acciones de rehabilitación hidrológica, pues se estableció intercambio marino en el área de influencia de la marea por los canales artificiales construidos. Estableciéndose flujo y reflujo del agua continuo e incrementándose durante la entrada del agua dulce, como consecuencia de la entrada del agua dulce por las lluvias. Definiéndose fluctuaciones en el tirante del agua de 10 a 30 cm en área con presencia de canales artificiales y de -10 a -20 cm (flujo solo vía intersticial) o sin movimiento|.

Fig. 23. Instalación de los Datalogger para registrar el comportamiento del hidroperíodo en una zona con procesos de rehabilitación hidrológica adyacente la Isla de Jaina, en la Reserva de la Biosfera Los Petenes, Campeche.

Clima.

La precipitación mensual de enero de 2017 a mayo de 2022 de la estación meteorológica de Hecelchakán, Campeche (Clave: HECCA) (https://smn.conagua.gob.mx/es/climatologia/temperaturas-y-lluvias/resumenes-mensuales-de-temperaturas-y-lluvias), más cercana al área de restauración (Fig. 24). Esto con la finalidad de elaborar el climograma para identificar el tipo de clima, como este influye en las diferentes físicos y químicas del agua intersticial en el tiempo y su relación con la producción de hojarasca. Al comparar los periodos de enero a noviembre del 2018, con respectivo al año 2019, se establece 18.9% más de lluvia en el año 2019, sin embargo, se registra el desplazamiento del comportamiento de las lluvias (Fig. 26). Asimismo, se exhibió incremento en la precipitación, de 47.4% de enero a diciembre de 2020, comparando el mismo periodo en el año de 2019 (Fig. 26). Esto atribuido a los efectos del cambio climático que están incidiendo en los ambientes costeros principalmente en los patrones de temperatura y precipitación. Similares resultados fueron registrados por Agraz Hernández et al. (2017) y Chan Keb et al. (2018) en los manglares del Estado de Campeche, al establecer cambios atípicos interanuales en la precipitación y entre las épocas del año, durante el periodo del 2006 al 2009, como reflejo de la variabilidad climática a nivel global.

Siendo relevante mencionar que el incremento en la precipitación en dos periodos anuales, favorecieron las condiciones la dilución de la salinidad y la mayor disponibilidad del oxígeno disuelto en el agua intersticial, y por ende se refleja en la sobrevivencia de las plántulas reforestadas.

Fig. 24. Precipitación mensual de enero de 2017 a mayo de 2022 de la estación meteorológica de Hecelchakán, Campeche (Clave: HECCA), adyacente al área de restauración en la Reserva de la Biosfera Los Petenes, Campeche.

Producción de hojarasca y monitoreo fenológico en las zonas de referencia.

Se establecieron canastas de defoliación (0.5 x 0.5 m) en los bosques de referencia, con la finalidad de estimar la producción de hojarasca (materia orgánica aportada por los bosques de mangle en el área). Para conocer la fenología de las especies de mangle dominantes y capacidad de colecta de los propágulos en el mes de menor estrés por las condiciones ambientales (de mejor calidad y viabilidad), sin alterar la regeneración del bosque. Cabe destacar que en los meses de mayo y julio del 2017 no fue posible colectar la hojarasca, pues no hubo acceso al área, sin embargo, la producción de hojarasca fue obtenida al estandarizar los datos a través del promedio diario, el número de días transcurridos y los días que corresponde de cada mes. Es importante mencionar que los resultados en la producción de hojarasca y comportamiento fenológico fueron de enero 2018 a noviembre del 2021; derivado de la pandemia COVID fue imposible colectar de abril 2020 a febrero del 2021.

Los resultados establecen mayor producción de hojarasca en la zona sur, con respecto a la zona norte, comportamiento predecible por las características ambientales, ya mencionadas en la estructura forestal y parámetros fisicoquímicos del agua intersticial.

En general las mayores producciones de hojarasca se registraron en los bosques de la orilla, comparado con los bosques internos en el 2017 y 2018, con mayor contribución de la hojarasca R. mangle y posterior L. racemosa (Fig. 25). En el caso de A. germinans la mayor contribución de la materia orgánica al sistema acuático fue en el bosque interno. La disminución en la producción de la hojarasca en el bosque interno se debe en gran medida al estrés osmótico que está sufriendo derivado del cambio hidrológico en la parte alta, con el incremento de la salinidad y menor disponibilidad de oxígeno disuelto en el agua, con respecto al bosque que bordea el canal, donde recibe la influencia de inundación por las mareas de manera continua.

La producción en general fue de 827.0 gr m2 año-1 en el 2017, inferior a lo registrado en el 2018 de 950.7 gr m2 año-1, aportando más del 60% por R. mangle, debido a la mayor influencia del agua dulce vía intersticial, proveniente del agua subterránea del peten adyacente al este bosque. Sin embargo, para el 2019 la producción en general disminuyo 796.0 gr m2 año-1. En cambio, para el 2021 a la fecha se registra una producción de 852.9 gr m2 año-1 (Fig. 25) .

Fig. 25. Producción de hojarasca mensual del bosque de mangle en la zona norte del área de restauración de 517 ha, al sureste de la Reserva de la Biosfera los Petenes, Campeche. a) R. mangle, b) A. germinans, c) L. racemosa, d) C. erectus.

Restauración

Rehabilitación hidrológica (excavación de canales): A partir del mes de marzo hasta julio del 2017 en la primera fase, se trazaron las direcciones y dimensiones in situ de los canales, donde aproximadamente se excavo 10,656 m3 para la construcción de canal principal y 1,791 m3 de canal terciario en el polígono de Jaina etapa II; cumpliendo con la meta de 12,447 m3 establecidos como un compromiso anual del 2017. De manera simultánea se realizó desazolve de 3000 m2 en 3 canales artificiales para garantizar la permanencia del canal principal, con una profundidad de 1.3 m en promedio y un volumen excavado de 20,000 m3 (Figs. 26, 27, 28 y 29). En la segunda fase (año 2018) y parte de la tercera fase (de marzo a mayo de 2019) se excavo para la construcción del canal principal 7,827 m3, para la construcción de los canales secundarios 22,497 m3 y el desazolve de canales naturales de 489 m2. Ante lo citado, a la fecha se ha excavado 18,483 m3 del canal principal, 37,238 m3 en canales secundarios y 23,406 m3 de canales terciarios, con un total de 79,127 m3 (Figs. 28 y 29). Así como, el desazolve de canales naturales con 3,489 m2. Con esto se cumple con los compromisos establecidos del 70% de avances, cumpliendo con la meta planteada para Obras de suelo, en esta etapa del proyecto.

En específico, los trabajos en hora de jornal para excavación de canales fueron compensados con la construcción de una parte del canal terciario en el 2017, para concluir con la meta de doce mil metros cúbicos en ese año, ya que los métodos de excavación del canal principal requieren del uso de pistas para las carretillas, debido a las características que se presentó en la inundación. Cabe destacar que los trabajos han sido complicados por el tipo de suelo (algunas zonas con karst o muy fangosas), desplazamiento de los trabajadores en el área, por el difícil o nulo acceso durante los meses de mayor precipitación y condiciones de altas temperaturas (mayores a 45°C), con salinidades mayores a 70 UPS. Por ello, la eficiencia en la excavación y avances es muy variable dentro de la misma zona o entre las mismas zonas. Aunado a difícil acceso (camino de terracería) al área de restauración, desplazando a los trabajadores 30.0 km vía terrestre y por ende necesidad de reparar continuamente el camino.

Fig. 26. Mapa de los avances de la rehabilitación hidrológica en 517 ha de mangle muerto en la Reserva de la Biosfera Los Petenes, Campeche.

Fig. 27. Desazolve de dos canales naturales en el área de restauración de la Reserva de la Biosfera Los Petenes, Campeche. Actividades efectuadas en el año 2017.

Fig. 28. Avance de excavación del canal principal de 5 m de ancho en las 517 ha a restaurar. Actividades efectuadas en el año 2017.

Fig. 29. Construcción de pasillo para acceso al polígono de Jaina etapa II, 517 ha. Actividades efectuadas en el año 2017.

Fig. 30. Excavación de canales artificiales (izquierda) en el 2018 y funcionamiento de los canales artificiales realizados en el año 2017 (derecha) en un sitio con acciones de restauración, ubicado en la Reserva de la Biosfera los Petenes, Campeche.

Fig. 31. Excavación de canales artificiales en el 2021 en un sitio con acciones de restauración, ubicado en la Reserva de la Biosfera los Petenes, Campeche.

Fig. 32. Excavación de canales artificiales en el 2021 en un sitio con acciones de restauración, ubicado en la Reserva de la Biosfera los Petenes, Campeche.

Reforestación con propágulos de A. germinans por voleo y siembra directa con hipocótilo de R. mangle

Con base a los registros fenológicos de las especies de mangle y las condiciones fisicoquímicas del agua intersticial definidas después de las acciones de rehabilitación hidrológica, se estableció la colecta de los propágulos 45,000 de Rhizophora mangle y 1´000,000 de Avicennia germinans (Fig. 33). Se reforesto in situ a partir de la segunda semana de septiembre a octubre de 2018, 35,000 hipocótilos de Rhizophora mangle a lo largo del borde de los canales artificiales excavados y se voleo 970,000 propágulos de A. germinans durante cuatro semanas, en el área donde se efectuaron las excavaciones de los canales artificiales. La sobrevivencia a la fecha de R. mangle es del 90% y de entre el 96.7% en las áreas donde se creó las plataformas artificiales (se dio el nivel topográfico con el material extraído) y 81% sin nivelación topográfica. Es importante precisar que la meta de reforestación comprometidas en la fase que se encuentra el proyecto en cuestión. Se enfatiza que los cambios en las cantidades de propágulos de cada especie fueron establecidos con base a las condiciones químicas del agua intersticial, registradas durante el monitoreo posterior a las acciones de la rehabilitación y la calidad del propágulo.

Fig. 33. Recolección, siembra y voleo de hipocótilos y propágulos de R. mangle y A. germinans en las 517 ha a restaurar.

Para el monitoreo del crecimiento de las plántulas reforestadas de A. germinans se establecieron seis parcelas de 5 x 5 m. (Fig. 34). En cada parcela se contabilizo el número total de plántulas, así como se midió en 10 plántulas por parcela, la altura, número de nodos y hojas.

Fig. 34. Parcelas de monitoreo de variables biológicas en plántulas de Avicennia germinans reforestadas y por regeneración natural en un sitio restaurado, ubicado en la Reserva de la Biosfera los Petenes, Campeche.

Los resultados de estas determinaciones establecieron mayor densidad de plántulas de Avicennia germinans en las plataformas artificiales, con 516.7±437.6 plántulas/25 m2 y 70.7±plántulas/25 m2, así como en el número de hojas, produciendo 35.4% más de biomasa fotosintética por las plántulas ubicadas en la plataforma artificial, estableciéndose diferencias significativas (Figs. 36 y 37). Caso inverso con la altura y numero de hojas donde las plántulas crecieron 26.1% más en sitios sin nivelación topográfica. Estableciéndose diferencias significativas entre las condiciones topográficas, con respecto las variables biológicas antes citadas.

Las tasas de crecimiento definidas por las plántulas de A. germinans fue de 0.17 ± 0.04 día-1 y alturas máximas de 21.74 ± 6.04 (Fig. 35). En el caso de R.mangle se exhibió tasas de 0.11± 0.04 día-1 y alturas de 13.4 ± 5.0 respectivamente (Fig. 35). Con una densidad de 80 hipocótilos/25 m2 y con sobrevivencias del 92% (Fig. 36).

Fig. 35. Medición de variables biológicas en las plántulas de Avicennia germinans reforestadas por voleo y regeneración natural con diferencias en el nivel topográfico, en un sitio restaurado ubicado en la Reserva de la Biosfera los Petenes, Campeche.

Fig. 36. Medición de variables biológicas en las plántulas de Rhizophora mangle reforestadas por siembra in situ en el borde de los canales excavados, en un sitio restaurado ubicado en la Reserva de la Biosfera los Petenes, Campeche.

Es relevante mencionar que este proyecto de restauración ha generado a la fecha, con los resultados antes mencionados, información relevante para incrementar el éxito de los programas de restauración y justificación en la aplicación del recurso en la actividad de reforestación. Puesto que se valida la importancia de realizar la nivelación topográfica y los registros del agua intersticial, por especie con el material extraído en los canales artificiales, estableciendo el nivel del suelo con base a la determinación de la distribución microtopográfica en el bosque de referencia y en las 517 ha.

Con respecto a las tasas de crecimiento las plántulas de A. germinans fue de 0.06 ± 0.03 día-1, con alturas máximas de 50.7 ± 20.9 cm (Fig. 37). En el caso de R.mangle exhibió tasas de 0.07±0.09 día-1 y alturas de 40.0±12.9 cm (Fig. 37), respectivamente. Asimismo, se presenta alta regeneración natural en toda las 517 ha, sin posibilidad de cálculo por la alta densidad y sobrevivencia. Incluyendo la regeneración de Laguncularia racemosa, registrándose alturas, razón por la cual, se espera que la vegetación cubra gran parte del área de restauración al término de las acciones de restauración y reforestación.

Fig. 37. Crecimiento en términos de los propágulos reforestados de tres especies de mangle en el área restaurada de 517 ha en la Reserva de la Biosfera Los Petenes, Campeche.



Galería

  • Todo
  • Construcción de canales
  • Muestreo de suelo
  • Monitoreo
  • Supervivencia de reforestación